相关习题
 0  79526  79534  79540  79544  79550  79552  79556  79562  79564  79570  79576  79580  79582  79586  79592  79594  79600  79604  79606  79610  79612  79616  79618  79620  79621  79622  79624  79625  79626  79628  79630  79634  79636  79640  79642  79646  79652  79654  79660  79664  79666  79670  79676  79682  79684  79690  79694  79696  79702  79706  79712  79720  266669 

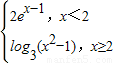
科目: 来源:2012-2013学年黑龙江省哈尔滨九中高一(上)期末数学试卷(解析版) 题型:选择题

设f(x)=则不等式f(x)<2的解集为( )
A.(,+∞)
B.(-∞,1)∪[2,
C.(1,2]∪(,+∞)
D.(1,

查看答案和解析>>

科目: 来源:2012-2013学年黑龙江省哈尔滨九中高一(上)期末数学试卷(解析版) 题型:选择题

定义在R上的偶函数f(x)满足f(x)=f(x+2),当x∈[3,4]时,f(x)=x-2,则( )
A.f(sin)<f(cos
B.f(sin)>f(cos
C.f(sin1)<f(cos1)
D.f(sin)>f(cos

查看答案和解析>>

科目: 来源:2012-2013学年黑龙江省哈尔滨九中高一(上)期末数学试卷(解析版) 题型:填空题

若f(x)=2sin?x(0<?<1)在区间上的最大值是,则ω=   

查看答案和解析>>

科目: 来源:2012-2013学年黑龙江省哈尔滨九中高一(上)期末数学试卷(解析版) 题型:填空题

函数f(x)=sinx+cosx-sinxcosx的最小值为   

查看答案和解析>>

科目: 来源:2012-2013学年黑龙江省哈尔滨九中高一(上)期末数学试卷(解析版) 题型:填空题

已知,则f(2)+f(4)+f(8)+…+f(28)的值等于   

查看答案和解析>>

科目: 来源:2012-2013学年黑龙江省哈尔滨九中高一(上)期末数学试卷(解析版) 题型:填空题

给出以下结论:
①函数y=2x与函数y=log2x的图象关于y轴对称;

③函数y=ln(1+x)-ln(1-x)为奇函数;
④函数f(x)的定义域为[-1,4],则函数f(x2)的定义域为[-2,2]
其中正确的是   

查看答案和解析>>

科目: 来源:2012-2013学年黑龙江省哈尔滨九中高一(上)期末数学试卷(解析版) 题型:解答题

已知集合A={x|3≤x<6},B={x|2<x<9}.
(1)分别求:∁R(A∩B),(∁RB)∪A;
(2)已知C={x|a<x<a+1},若C⊆B,求实数a的取值集合.

查看答案和解析>>

科目: 来源:2012-2013学年黑龙江省哈尔滨九中高一(上)期末数学试卷(解析版) 题型:解答题

已知cosα=,cos(α-β)=,且0<β<α<
(Ⅰ)求tan2α的值;
(Ⅱ)求β.

查看答案和解析>>

科目: 来源:2012-2013学年黑龙江省哈尔滨九中高一(上)期末数学试卷(解析版) 题型:解答题

已知
(1)求函数f(x)的最小正周期;
(2)求函数f(x)在闭区间[0,π]上的最小值并求当f(x)取最小值时x的取值.

查看答案和解析>>

科目: 来源:2012-2013学年黑龙江省哈尔滨九中高一(上)期末数学试卷(解析版) 题型:解答题

已知函数是定义在(-∞,+∞)上的奇函数.
(1)求a的值;
(2)求函数f(x)的值域.
(3)当x∈≥2x-2恒成立,求实数t的取值范围.

查看答案和解析>>

同步练习册答案