相关习题
 0  79531  79539  79545  79549  79555  79557  79561  79567  79569  79575  79581  79585  79587  79591  79597  79599  79605  79609  79611  79615  79617  79621  79623  79625  79626  79627  79629  79630  79631  79633  79635  79639  79641  79645  79647  79651  79657  79659  79665  79669  79671  79675  79681  79687  79689  79695  79699  79701  79707  79711  79717  79725  266669 

科目: 来源:2011-2012学年福建省泉州市晋江市季延中学高二(下)期末数学试卷(理科)(解析版) 题型:选择题

在一次实验中,测得(x,y)的四组值为(1,2),(2,3),(3,4),(4,5),则y与x之间的回归直线方程为( )
A.=x+1
B.=x+2
C.=2x+1
D.=x-1

查看答案和解析>>

科目: 来源:2011-2012学年福建省泉州市晋江市季延中学高二(下)期末数学试卷(理科)(解析版) 题型:选择题

记者要为5名志愿者和他们帮助的2位老人拍照,要求排成一排,2位老人相邻但不排在两端,不同的排法共有( )
A.1440种
B.960种
C.720种
D.480种

查看答案和解析>>

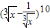
科目: 来源:2011-2012学年福建省泉州市晋江市季延中学高二(下)期末数学试卷(理科)(解析版) 题型:选择题

的展开式中的有理项共有( )
A.1项
B.2项
C.3项
D.4项

查看答案和解析>>

科目: 来源:2011-2012学年福建省泉州市晋江市季延中学高二(下)期末数学试卷(理科)(解析版) 题型:选择题

设两个正态分布的密度曲线如图所示,则有( )
A.μ1<μ2,σ1<σ2
B.μ1<μ2,σ1>σ2
C.μ1>μ2,σ1<σ2
D.μ1>μ2,σ1>σ2

查看答案和解析>>

科目: 来源:2011-2012学年福建省泉州市晋江市季延中学高二(下)期末数学试卷(理科)(解析版) 题型:选择题

把一枚硬币连续抛掷两次,事件A=“第一次出现正面”,事件B=“第二次出现正面”,则P(B|A)等于( )
A.
B.
C.
D.

查看答案和解析>>

科目: 来源:2011-2012学年福建省泉州市晋江市季延中学高二(下)期末数学试卷(理科)(解析版) 题型:选择题

从甲袋中摸出1个红球的概率为,从乙袋中摸出1个红球的概率为,从两袋中各摸出一个球,则等于( )
A.2个球都不是红球的概率
B.2个球都是红球的概率
C.至少有1个红球的概率
D.2个球中恰有1个红球的概率

查看答案和解析>>

科目: 来源:2011-2012学年福建省泉州市晋江市季延中学高二(下)期末数学试卷(理科)(解析版) 题型:选择题

如图所示,在一个边长为1的正方形AOBC内,曲y=x2和曲线y=围成一个叶形图(阴影部分),向正方形AOBC内随机投一点(该点落在正方形AOBC内任何一点是等可能的),则所投的点落在叶形图内部的概率是( )
A.
B.
C.
D.

查看答案和解析>>

科目: 来源:2011-2012学年福建省泉州市晋江市季延中学高二(下)期末数学试卷(理科)(解析版) 题型:选择题

若X是离散型随机变量,,且x1<x2,又已知,DX=2,则x1+x2=( )
A.或1
B.
C.
D.

查看答案和解析>>

科目: 来源:2011-2012学年福建省泉州市晋江市季延中学高二(下)期末数学试卷(理科)(解析版) 题型:选择题

口袋内放有大小相同的2个红球和1个白球,有放回地每次摸取一个球,定义数列{an}为.如果Sn为数列{an}的前n项和,那么S7=3的概率为( )
A.
B.
C.
D.

查看答案和解析>>

科目: 来源:2011-2012学年福建省泉州市晋江市季延中学高二(下)期末数学试卷(理科)(解析版) 题型:填空题

有6名学生,其中有3名会唱歌,2名会跳舞;1名既会唱歌也会跳舞;现从中选出2名会唱歌的,1名会跳舞的去参加文艺演出,则共有选法    种.

查看答案和解析>>

同步练习册答案