相关习题
0 79561 79569 79575 79579 79585 79587 79591 79597 79599 79605 79611 79615 79617 79621 79627 79629 79635 79639 79641 79645 79647 79651 79653 79655 79656 79657 79659 79660 79661 79663 79665 79669 79671 79675 79677 79681 79687 79689 79695 79699 79701 79705 79711 79717 79719 79725 79729 79731 79737 79741 79747 79755 266669
科目:
来源:2010-2011学年山东省淄博市重点中学高三(上)期中数学试卷(理科)(解析版)
题型:填空题
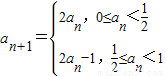
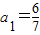
数列{a
n}满足

,若

,则a
2004的值为
.
查看答案和解析>>
科目:
来源:2010-2011学年山东省淄博市重点中学高三(上)期中数学试卷(理科)(解析版)
题型:填空题
查看答案和解析>>
科目:
来源:2010-2011学年山东省淄博市重点中学高三(上)期中数学试卷(理科)(解析版)
题型:填空题
点P在曲线

上移动,设在点P处的切线的倾斜角为为α,则α的取值范围是
.
查看答案和解析>>
科目:
来源:2010-2011学年山东省淄博市重点中学高三(上)期中数学试卷(理科)(解析版)
题型:填空题
如图,当甲船位于A处时获悉,在其正东方向相距20海里的B处有一艘渔船遇险等待营救,甲船立即前往营救,同时把消息告知在甲船的南偏西30°,相距10海里C处的乙船,乙船立即朝北偏东θ角的方向沿直线前往B处救援,则sinθ的值等于
.

查看答案和解析>>
科目:
来源:2010-2011学年山东省淄博市重点中学高三(上)期中数学试卷(理科)(解析版)
题型:解答题
已知奇函数

(1)求实数m的值,并在给出的直角坐标系中画出y=f(x)的图象;
(2)若函数f(x)在区间[-1,-2]上单调递增,试确定的取值范围.

查看答案和解析>>
科目:
来源:2010-2011学年山东省淄博市重点中学高三(上)期中数学试卷(理科)(解析版)
题型:解答题
在△ABC中,角A,B,C所对的边分别为a,b,c.已知m=(cos

,sin

),n=(cos

,sin

),且满足|m+n|=

.
(1)求角A的大小;
(2)若|

|+|

|=

|

|,试判断△ABC的形状.
查看答案和解析>>
科目:
来源:2010-2011学年山东省淄博市重点中学高三(上)期中数学试卷(理科)(解析版)
题型:解答题
已知m∈R,设P:x
1和x
2是方程x
2-ax-2=0的两个根,不等式|m-5|≤|x
1-x
2|对任意实数a∈[1,2]恒成立;Q:函数f(x)=3x
2+2mx+m+

有两个不同的零点.求使“P且Q”为真命题的实数m的取值范围.
查看答案和解析>>
科目:
来源:2010-2011学年山东省淄博市重点中学高三(上)期中数学试卷(理科)(解析版)
题型:解答题
已知函数

(0<φ<π,ω>0)为偶函数,且函数y=f(x)图象的两相邻对称轴间的距离为

.
(Ⅰ)求

的值;
(Ⅱ)将函数y=f(x)的图象向右平移

个单位后,再将得到的图象上各点的横坐标伸长到原来的4倍,纵坐标不变,得到函数y=g(x)的图象,求g(x)的单调递减区间.
查看答案和解析>>
科目:
来源:2010-2011学年山东省淄博市重点中学高三(上)期中数学试卷(理科)(解析版)
题型:解答题
已知各项均为正数的数列{a
n}前n项和为S
n,首项为a
1,且

,a
n,S
n成等差数列.
(1)求数列{a
n}的通项公式;
(2)若a
n2=(

)
bn,设c
n=

,求数列{c
n}的前n项和T
n.
查看答案和解析>>
科目:
来源:2010-2011学年山东省淄博市重点中学高三(上)期中数学试卷(理科)(解析版)
题型:解答题
已知函数f(x)=x
4+ax
3+2x
2+b(x∈R),其中a,b∈R.
(Ⅰ)当

时,讨论函数f(x)的单调性;
(Ⅱ)若函数f(x)仅在x=0处有极值,求a的取值范围;
(Ⅲ)若对于任意的a∈[-2,2],不等式f(x)≤1在[-1,1]上恒成立,求b的取值范围.
查看答案和解析>>