相关习题
 0  79583  79591  79597  79601  79607  79609  79613  79619  79621  79627  79633  79637  79639  79643  79649  79651  79657  79661  79663  79667  79669  79673  79675  79677  79678  79679  79681  79682  79683  79685  79687  79691  79693  79697  79699  79703  79709  79711  79717  79721  79723  79727  79733  79739  79741  79747  79751  79753  79759  79763  79769  79777  266669 

科目: 来源:2010-2011学年北京市大兴区高一(上)期末数学试卷(解析版) 题型:选择题

下列四组函数中,表示相同函数的一组是( )
A.f(x)=x,g(x)=1
B.
C.f(x)=lgx2,g(x)=2lg
D.

查看答案和解析>>

科目: 来源:2010-2011学年北京市大兴区高一(上)期末数学试卷(解析版) 题型:选择题

已知集合A=[0,4],B=[0,2],按对应关系f不能构成从A到B的映射的是( )
A.
B.f:x→y=x-2
C.
D.f:x→y=|x-2|

查看答案和解析>>

科目: 来源:2010-2011学年北京市大兴区高一(上)期末数学试卷(解析版) 题型:选择题

下列函数中,在(0,+∞)上为减函数的是( )
A.y=3x
B.y=-
C.y=
D.y=

查看答案和解析>>

科目: 来源:2010-2011学年北京市大兴区高一(上)期末数学试卷(解析版) 题型:选择题

,则( )
A.a<b<c
B.a<c<b
C.b<c<a
D.b<a<c

查看答案和解析>>

科目: 来源:2010-2011学年北京市大兴区高一(上)期末数学试卷(解析版) 题型:选择题

函数的零点所在的区间是( )
A.
B.
C.
D.

查看答案和解析>>

科目: 来源:2010-2011学年北京市大兴区高一(上)期末数学试卷(解析版) 题型:选择题

如图所示,正三角形中阴影部分的面积S是h(0≤h≤H)的函数,则该函数的图象是( )

A.
B.
C.
D.

查看答案和解析>>

科目: 来源:2010-2011学年北京市大兴区高一(上)期末数学试卷(解析版) 题型:填空题

用列举法表示一次函数y=x+3与y=-2x+6的图象的交点组成的集合为   

查看答案和解析>>

科目: 来源:2010-2011学年北京市大兴区高一(上)期末数学试卷(解析版) 题型:填空题

已知幂函数f(x)的图象过点(4,2),那么,f(3)与f(π)的大小关系是为   

查看答案和解析>>

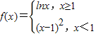
科目: 来源:2010-2011学年北京市大兴区高一(上)期末数学试卷(解析版) 题型:填空题

,若f(x)=1,则x=   

查看答案和解析>>

科目: 来源:2010-2011学年北京市大兴区高一(上)期末数学试卷(解析版) 题型:填空题

如果指数函数f(x)=ax是R上的单调减函数,那么,当f(x+1)≥1时,x的取值范围是   

查看答案和解析>>

同步练习册答案