相关习题
0 79593 79601 79607 79611 79617 79619 79623 79629 79631 79637 79643 79647 79649 79653 79659 79661 79667 79671 79673 79677 79679 79683 79685 79687 79688 79689 79691 79692 79693 79695 79697 79701 79703 79707 79709 79713 79719 79721 79727 79731 79733 79737 79743 79749 79751 79757 79761 79763 79769 79773 79779 79787 266669
科目:
来源:2012-2013学年福建省泉州市安溪一中、养正中学、惠安一中联考高二(下)期末数学试卷(文科)(解析版)
题型:选择题
函数

的图象为C,则下列论断中,正确论断的个数是( )
(1)图象C关于直线

对称;
(2)函数f(x)在区间

内是增函数;
(3)由函数y=3sin2x的图象向右平移

个单位长度可以得到图象C.
A.0
B.1
C.2
D.3
查看答案和解析>>
科目:
来源:2012-2013学年福建省泉州市安溪一中、养正中学、惠安一中联考高二(下)期末数学试卷(文科)(解析版)
题型:选择题
已知x=1是函数g(x)=1-alnx-x的唯一零点,则实数a的取值范围( )
A.[0,+∞)
B.[0,+∞)∪{-1}
C.[-1,0]
D.(-∞,-1]
查看答案和解析>>
科目:
来源:2012-2013学年福建省泉州市安溪一中、养正中学、惠安一中联考高二(下)期末数学试卷(文科)(解析版)
题型:选择题
下列说法:
①“?x∈R,2
x>3”的否定是“?x∈R,2
x≤3”;
②命题“函数

的最小正周期是π,则?=2”是真命题;
③命题“函数f(x)在x=x
处有极值,则f′(x
)=0”的否命题是假命题;
④f(x)是(-∞,0)∪(0,+∞)上的偶函数,x>0时f(x)的解析式是f(x)=x
3,
则x<0时f(x)的解析式是f(x)=-x
3.
其中正确的说法是( )
A.①③④
B.①②③
C.①②④
D.②③④
查看答案和解析>>
科目:
来源:2012-2013学年福建省泉州市安溪一中、养正中学、惠安一中联考高二(下)期末数学试卷(文科)(解析版)
题型:填空题
复数

=
.
查看答案和解析>>
科目:
来源:2012-2013学年福建省泉州市安溪一中、养正中学、惠安一中联考高二(下)期末数学试卷(文科)(解析版)
题型:填空题
不用计算器计算:

=
.(记住这个对数恒等式:

)
查看答案和解析>>
科目:
来源:2012-2013学年福建省泉州市安溪一中、养正中学、惠安一中联考高二(下)期末数学试卷(文科)(解析版)
题型:填空题
若函数f(x)满足:对于任意x
1>0,x
2>0都有f(x
1)>0,f(x
2)>0,且f(x
1)+f(x
2)<f(x
1+x
2)成立,则称函数f(x)为“守法函数”.给出下列四个函数:①

;②y=log
2(x+1);③y=2
x-1;④y=cosx;其中“守法函数”的所有函数的序号是
.
查看答案和解析>>
科目:
来源:2012-2013学年福建省泉州市安溪一中、养正中学、惠安一中联考高二(下)期末数学试卷(文科)(解析版)
题型:填空题
已知P(x
,y
)是抛物线y
2=2px(p>0)上的一点,过P点的切线方程的斜率可通过如下方式求得:
在y
2=2px两边同时对x求导,得:

,所以过P的切线的斜率:

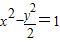
试用上述方法求出双曲线

在

处的切线方程为
.
查看答案和解析>>
科目:
来源:2012-2013学年福建省泉州市安溪一中、养正中学、惠安一中联考高二(下)期末数学试卷(文科)(解析版)
题型:解答题
(Ⅰ)求值:sin690°•sin150°+cos930°•cos(-870°)+tan120°•tan1050°;
(Ⅱ)已知角α的终边上有一点P(1,2),求

的值.
查看答案和解析>>
科目:
来源:2012-2013学年福建省泉州市安溪一中、养正中学、惠安一中联考高二(下)期末数学试卷(文科)(解析版)
题型:解答题
已知命题

,命题q:y=x
2-ax在区间[1,+∞)没有极值,若p或q为真,p且q为假,求实数a的取值范围.
查看答案和解析>>
科目:
来源:2012-2013学年福建省泉州市安溪一中、养正中学、惠安一中联考高二(下)期末数学试卷(文科)(解析版)
题型:解答题
如图为f(x)=Asin(ωx+ϕ)(A>0,?>0,ϕ∈(-π,0))的图象的一段,
(Ⅰ)求其解析式.
(Ⅱ)将f(x)图象上所有的点纵坐标不变,横坐标放大到原来的2倍,然后再将新的图象向左平移

个单位,得到函数g(x)的图象,求函数g(x)在

的值域.

查看答案和解析>>