相关习题
 0  79611  79619  79625  79629  79635  79637  79641  79647  79649  79655  79661  79665  79667  79671  79677  79679  79685  79689  79691  79695  79697  79701  79703  79705  79706  79707  79709  79710  79711  79713  79715  79719  79721  79725  79727  79731  79737  79739  79745  79749  79751  79755  79761  79767  79769  79775  79779  79781  79787  79791  79797  79805  266669 

科目: 来源:2012-2013学年山东省济南一中高三(下)4月质量检测数学试卷(文科)(解析版) 题型:解答题

选修4-4:坐标系与参数方程
已知曲线C的极坐标方程是ρ=1,以极点为原点,极轴为x轴的正半轴建立平面直角坐标系,直线l的参数方程
(1)写出直线l的普通方程与曲线C的直角坐标方程;
(2)设曲线C经过伸缩变换得到曲线C',设曲线C'上任一点为M(x,y),求的最小值.

查看答案和解析>>

科目: 来源:2012-2013学年山东省济南一中高三(下)4月质量检测数学试卷(文科)(解析版) 题型:解答题

选修4-5;不等式选讲.
已知a∈R,设关于x的不等式|2x-a|+|x+3|≥2x+4的解集为A.
(Ⅰ)若a=1,求A;
(Ⅱ)若A=R,求a的取值范围.

查看答案和解析>>

科目: 来源:2012-2013学年四川省内江市高二(下)期末数学试卷(文科)(解析版) 题型:选择题

抛物线x2=-y焦点坐标是( )
A.(,0)
B.(-,0)
C.(0,-
D.(0,

查看答案和解析>>

科目: 来源:2012-2013学年四川省内江市高二(下)期末数学试卷(文科)(解析版) 题型:选择题

已知椭圆上的一点P到椭圆一个焦点的距离为3,则P到另一焦点距离为( )
A.9
B.7
C.5
D.3

查看答案和解析>>

科目: 来源:2012-2013学年四川省内江市高二(下)期末数学试卷(文科)(解析版) 题型:选择题

点M的极坐标是,则M的直角坐标为( )
A.
B.
C.
D.

查看答案和解析>>

科目: 来源:2012-2013学年四川省内江市高二(下)期末数学试卷(文科)(解析版) 题型:选择题

已知命题p:?x∈R,x2-x+1>0,则¬p( )
A.?x∈R,x2-x+1≤0
B.?x∈R,x2-x+1≤0
C.?x∈R,x2-x+1>0
D.?x∈R,x2-x+1≥0

查看答案和解析>>

科目: 来源:2012-2013学年四川省内江市高二(下)期末数学试卷(文科)(解析版) 题型:选择题

参数方程(θ为参数)所表示的曲线为( )
A.圆的一部分
B.抛物线的一部分
C.双曲线的一部分
D.椭圆的一部分

查看答案和解析>>

科目: 来源:2012-2013学年四川省内江市高二(下)期末数学试卷(文科)(解析版) 题型:选择题

已知曲线上一点,则过点P的切线的倾斜角为( )
A.30
B.45
C.135
D.150

查看答案和解析>>

科目: 来源:2012-2013学年四川省内江市高二(下)期末数学试卷(文科)(解析版) 题型:选择题

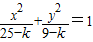
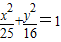
曲线与曲线(k<9)的( )
A.焦距相等
B.长、短轴相等
C.离心率相等
D.准线相同

查看答案和解析>>

科目: 来源:2012-2013学年四川省内江市高二(下)期末数学试卷(文科)(解析版) 题型:选择题

已知p:,则p是q的( )
A.充要条件
B.充分不必要条件
C.必要不充分条件
D.既不充分又不必要条件

查看答案和解析>>

同步练习册答案