相关习题
 0  79623  79631  79637  79641  79647  79649  79653  79659  79661  79667  79673  79677  79679  79683  79689  79691  79697  79701  79703  79707  79709  79713  79715  79717  79718  79719  79721  79722  79723  79725  79727  79731  79733  79737  79739  79743  79749  79751  79757  79761  79763  79767  79773  79779  79781  79787  79791  79793  79799  79803  79809  79817  266669 

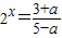
科目: 来源:2010-2011学年湖北省襄樊市四校联考高三(上)期中数学试卷(理科)(解析版) 题型:选择题

已知f(x)是定义在R上,且周期为2的偶函数,当0≤x≤1时,f(x)=x2.若直线y=x+a与曲线y=f(x)恰有两个公共点,那么实数a的值为( )(k∈z)
A.k
B.2k
C.2k或2k-
D.k或k-

查看答案和解析>>

科目: 来源:2010-2011学年湖北省襄樊市四校联考高三(上)期中数学试卷(理科)(解析版) 题型:选择题

定义在R上的函数f(x)的图象关于点成中心对称,对任意的实数x有f(x)=-f(x+),且f(-1)=1,f(0)=-2,则f(1)+f(2)+f(3)+…+f(2011)的值为( )
A.1
B.-1
C.0
D.-2

查看答案和解析>>

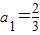
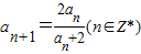
科目: 来源:2010-2011学年湖北省襄樊市四校联考高三(上)期中数学试卷(理科)(解析版) 题型:填空题

已知数列{an}的首项为,则an=   

查看答案和解析>>

科目: 来源:2010-2011学年湖北省襄樊市四校联考高三(上)期中数学试卷(理科)(解析版) 题型:填空题

定义在R上的函数f(x)满足,则f(33)=   

查看答案和解析>>

科目: 来源:2010-2011学年湖北省襄樊市四校联考高三(上)期中数学试卷(理科)(解析版) 题型:填空题

已知A={a,b,c},B={0,1,2},且满足f(a)+f(b)=f(c)的映射f,A→B有    个.

查看答案和解析>>

科目: 来源:2010-2011学年湖北省襄樊市四校联考高三(上)期中数学试卷(理科)(解析版) 题型:填空题

抛物线y=x2,x轴及直线AB:x=1围成如图所示的阴影部分,把线段OA等分成n等份,作以为底的内接矩形,阴影部分的面积S等于这些内接矩形面积之和当n→∞时的极限值,则S的值为   

查看答案和解析>>

科目: 来源:2010-2011学年湖北省襄樊市四校联考高三(上)期中数学试卷(理科)(解析版) 题型:填空题

用[x]表示不超过x的最大整数,如[3.1]=3,[-3.4]=-4,[0]=0,设函数f(x)=[x]-x(x∈R),关于函数f(x)有如下四个命题:
①f(x)的值域为[0,1)
②f(x)是偶函数  
③f(x)是周期函数,最小正周期为1  
④f(x)是增函数.
其中正确命题的序号是:   

查看答案和解析>>

科目: 来源:2010-2011学年湖北省襄樊市四校联考高三(上)期中数学试卷(理科)(解析版) 题型:解答题

已知命题p:关于x的方程有负根;命题q:不等式|x+1|+|x-1|<a的解集为∅,若p或q是真命题,p且q是假命题,求实数a的范围.

查看答案和解析>>

科目: 来源:2010-2011学年湖北省襄樊市四校联考高三(上)期中数学试卷(理科)(解析版) 题型:解答题

已知数列{an}的前n项和,且an是bn和1的等差中项.
(1)求数列{an}与{bn}的通项公式;
(2)若,求
(3)若是否存在n∈N*,使f(n+11)=2f(n)?说明理由.

查看答案和解析>>

科目: 来源:2010-2011学年湖北省襄樊市四校联考高三(上)期中数学试卷(理科)(解析版) 题型:解答题

函数的定义域为(0,1](a<0),
(1)若a=-1,求函数y=f(x)的值域;
(2)求函数y=f(x)在x∈(0,1]上的最大值和最小值,并求出函数取最值时相应x的值.

查看答案和解析>>

同步练习册答案