相关习题
 0  79640  79648  79654  79658  79664  79666  79670  79676  79678  79684  79690  79694  79696  79700  79706  79708  79714  79718  79720  79724  79726  79730  79732  79734  79735  79736  79738  79739  79740  79742  79744  79748  79750  79754  79756  79760  79766  79768  79774  79778  79780  79784  79790  79796  79798  79804  79808  79810  79816  79820  79826  79834  266669 

科目: 来源:2008-2009学年黑龙江省哈师大附中高三(上)12月月考数学试卷(理科)(解析版) 题型:选择题

函数f(x)=ln|x-1|的图象大致是( )
A.
B.
C.
D.

查看答案和解析>>

科目: 来源:2008-2009学年黑龙江省哈师大附中高三(上)12月月考数学试卷(理科)(解析版) 题型:选择题

在等差数列{an}中,若a2+a4+a6+a8+a10=80,则a7-a8的值为( )
A.4
B.6
C.8
D.10

查看答案和解析>>

科目: 来源:2008-2009学年黑龙江省哈师大附中高三(上)12月月考数学试卷(理科)(解析版) 题型:选择题

函数f(x)=cosx (x∈R)的图象按向量(m,0)平移后,得到函数y=-f′(x)的图象,则m的值可以为( )
A.
B.π
C.-π
D.-

查看答案和解析>>

科目: 来源:2008-2009学年黑龙江省哈师大附中高三(上)12月月考数学试卷(理科)(解析版) 题型:选择题

等比数列{an}中,公比q>1,且a1+a6=8,a3a4=12,则=( )
A.
B.
C.
D.

查看答案和解析>>

科目: 来源:2008-2009学年黑龙江省哈师大附中高三(上)12月月考数学试卷(理科)(解析版) 题型:选择题

设f-1(x)是函数的反函数,则使f-1(x)>1成立的x的取值范围为( )
A.(
B.(
C.(
D.[2,+∞)

查看答案和解析>>

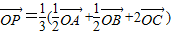
科目: 来源:2008-2009学年黑龙江省哈师大附中高三(上)12月月考数学试卷(理科)(解析版) 题型:选择题

已知A、B、C是平面上不共线的三点,O是三角形ABC的重心,动点P满足则点P一定为三角形ABC的( )
A.AB边中线的中点
B.AB边中线的三等分点(非重心)
C.重心
D.AB边的中点

查看答案和解析>>

科目: 来源:2008-2009学年黑龙江省哈师大附中高三(上)12月月考数学试卷(理科)(解析版) 题型:选择题

将函数y=2cos2x+2sinxcosx-的图象按向量平移后所得的图象直线x=-对称,则向量的坐标可能为( )
A.
B.
C.
D.

查看答案和解析>>

科目: 来源:2008-2009学年黑龙江省哈师大附中高三(上)12月月考数学试卷(理科)(解析版) 题型:选择题

设△ABC的外接圆的圆心为O,且,则∠C等于( )
A.45°
B.60°
C.75°
D.90°

查看答案和解析>>

科目: 来源:2008-2009学年黑龙江省哈师大附中高三(上)12月月考数学试卷(理科)(解析版) 题型:选择题

已知{an}是等比数列,a2=2,a5=,则a1a2+a2a3+…+anan+1(n∈N*)的取值范围是( )
A.[12,16]
B.[8,]
C.[8,
D.[]

查看答案和解析>>

科目: 来源:2008-2009学年黑龙江省哈师大附中高三(上)12月月考数学试卷(理科)(解析版) 题型:选择题

设函数f(x)=x3+3x2+6x+4,a,b都是实数,且f(a)=14,f(b)=-14,则a+b的值为( )
A.2
B.1
C.0
D.-2

查看答案和解析>>

同步练习册答案