相关习题
0 79643 79651 79657 79661 79667 79669 79673 79679 79681 79687 79693 79697 79699 79703 79709 79711 79717 79721 79723 79727 79729 79733 79735 79737 79738 79739 79741 79742 79743 79745 79747 79751 79753 79757 79759 79763 79769 79771 79777 79781 79783 79787 79793 79799 79801 79807 79811 79813 79819 79823 79829 79837 266669
科目:
来源:2009-2010学年浙江省宁波市鄞州高级中学高二(上)期中数学试卷(文科)(解析版)
题型:填空题
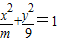
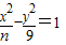
若椭圆

(m>9)与双曲线

(n>0)有相同的焦点F
1、F
2,P是两曲线的一个交点,则△F
1PF
2的面积是.
查看答案和解析>>
科目:
来源:2009-2010学年浙江省宁波市鄞州高级中学高二(上)期中数学试卷(文科)(解析版)
题型:解答题
一椭圆其中心在原点,焦点在同一坐标轴上,焦距为

,一双曲线和这椭圆有公共焦点,且双曲线的半实轴比椭圆的长半轴长小4,且双曲线的离心率与椭圆的离心率之比为7:3,求椭圆和双曲线的方程.
查看答案和解析>>
科目:
来源:2009-2010学年浙江省宁波市鄞州高级中学高二(上)期中数学试卷(文科)(解析版)
题型:解答题
在甲、乙两个盒子中分别装有标号为1、2、3、4、5、6的六个球,现从甲、乙两个盒子中各取出1个球,每个小球被取出的可能性相等.
(Ⅰ)求取出的两个球上标号为相邻整数的概率;
(Ⅱ)求取出的两个球上标号之和能被3整除的概率.
(III)求甲盒取出的球的标号大于乙盒取出的球的标号的概率.
查看答案和解析>>
科目:
来源:2009-2010学年浙江省宁波市鄞州高级中学高二(上)期中数学试卷(文科)(解析版)
题型:解答题
已知椭圆的中心在坐标原点,两个顶点在直线x+2y-4=0上,F1是椭圆的左焦点.
(1)求椭圆的标准方程;
(2)设点P是椭圆上的一个动点,求线段PF1的中点M的轨迹方程;
(3)若直线l:y=x+m与椭圆交于点A,B两点,求△ABO面积S的最大值及此时直线l的方程.
查看答案和解析>>
科目:
来源:2009-2010学年浙江省宁波市鄞州高级中学高二(上)期中数学试卷(文科)(解析版)
题型:解答题
把一根长度为7的铁丝截成3段.
(Ⅰ)如果三段的长度均为整数,求能构成三角形的概率;
(Ⅱ)如果截成任意长度的三段,求能构成三角形的概率.
查看答案和解析>>
科目:
来源:2009-2010学年浙江省宁波市鄞州高级中学高二(上)期中数学试卷(文科)(解析版)
题型:解答题
设点P(x,y)(x≥0)为平面直角坐标系xOy中的一个动点(其中O为坐标原点),点P到定点M(1,0)的距离比点P到直线x=-2的距离小1,过点M的直线l与点P的轨迹方程交于A、B两点.
(Ⅰ)求点P的轨迹方程;
(Ⅱ)是否存在直线l,使得以线段AB为直径的圆恰好经过坐标原点?若存在,请求出直线l的方程,若不存在,请说明理由.
(III)求证:S△OAB=S△OAM•|BM|.
查看答案和解析>>
科目:
来源:2011-2012学年福建省莆田二中高二(上)期末数学试卷(文科)(解析版)
题型:选择题
设正弦函数y=sinx在x=0和x=

附近的平均变化率为k
1,k
2,则k
1,k
2的大小关系为( )
A.k
1>k
2B.k
1<k
2C.k
1=k
2D.不确定
查看答案和解析>>
科目:
来源:2011-2012学年福建省莆田二中高二(上)期末数学试卷(文科)(解析版)
题型:选择题
命题“存在x∈Z使x2+2x+m≤0”的否定是( )
A.存在x∈Z使x2+2x+m>0
B.不存在x∈Z使x2+2x+m>0
C.对任意x∈Z使x2+2x+m≤0
D.对任意x∈Z使x2+2x+m>0
查看答案和解析>>
科目:
来源:2011-2012学年福建省莆田二中高二(上)期末数学试卷(文科)(解析版)
题型:选择题
下列命题中正确的是( )
A.若a,b,c∈R,且a>b,则ac
2>bc
2B.若a>b,c>d,则

>

C.若a,b∈R,且a>|b|,则a
n>b
n(n∈N
*)
D.若a,b∈R,且a•b≠0,则

+

≥2
查看答案和解析>>
科目:
来源:2011-2012学年福建省莆田二中高二(上)期末数学试卷(文科)(解析版)
题型:选择题
已知变量x,y满足

,则z=x-y+5的最大值为( )
A.4
B.

C.2
D.5
查看答案和解析>>