相关习题
 0  79647  79655  79661  79665  79671  79673  79677  79683  79685  79691  79697  79701  79703  79707  79713  79715  79721  79725  79727  79731  79733  79737  79739  79741  79742  79743  79745  79746  79747  79749  79751  79755  79757  79761  79763  79767  79773  79775  79781  79785  79787  79791  79797  79803  79805  79811  79815  79817  79823  79827  79833  79841  266669 

科目: 来源:2010-2011学年湖北省襄阳市南漳一中高三(上)第四次月考数学试卷(文科)(解析版) 题型:解答题

市政府为招商引资,决定对外资企业第一年产品免税.某外资厂该年A型产品出厂价为每件60元,年销售量为11.8万件.第二年,当地政府开始对该商品征收税率为p%(0<p<100,即销售100元要征收p元)的税收,于是该产品的出厂价上升为每件元,预计年销售量将减少p万件.
(Ⅰ)将第二年政府对该商品征收的税收y(万元)表示成p的函数,并指出这个函数的定义域;
(Ⅱ)要使第二年该厂的税收不少于16万元,则税率p%的范围是多少?
(Ⅲ)在第二年该厂的税收不少于16万元的前提下,要让厂家获得最大销售金额,则p应为多少?

查看答案和解析>>

科目: 来源:2010-2011学年湖北省襄阳市南漳一中高三(上)第四次月考数学试卷(文科)(解析版) 题型:解答题

设函数R),函数f(x)的导数记为f'(x).
(1)若a=f'(2),b=f'(1),c=f'(0),求a、b、c的值;
(2)在(1)的条件下,记,求证:F(1)+F(2)+F(3)+…+F(n)<N*);
(3)设关于x的方程f'(x)=0的两个实数根为α、β,且1<α<β<2.试问:是否存在正整数n,使得?说明理由.

查看答案和解析>>

科目: 来源:2011-2012学年福建省三明市清流一中高二(上)12月段考数学试卷(文科)(解析版) 题型:选择题

算法的三种基本结构是( )
A.顺序结构、模块结构、条件结构
B.顺序结构、循环结构、模块结构
C.顺序结构、选择结构、循环结构
D.选择结构、条件结构、循环结构

查看答案和解析>>

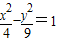
科目: 来源:2011-2012学年福建省三明市清流一中高二(上)12月段考数学试卷(文科)(解析版) 题型:选择题

双曲线的渐近线方程是( )
A.
B.
C.
D.

查看答案和解析>>

科目: 来源:2011-2012学年福建省三明市清流一中高二(上)12月段考数学试卷(文科)(解析版) 题型:选择题

命题“存在x∈R,2x≤0”的否定是( )
A.不存在x∈R,>0
B.存在x∈R,≥0
C.对任意的x∈R,2x≤0
D.对任意的x∈R,2x>0

查看答案和解析>>

科目: 来源:2011-2012学年福建省三明市清流一中高二(上)12月段考数学试卷(文科)(解析版) 题型:选择题

大,中,小三个盒子中分别装有同一种产品120个、60个、20个,现在需要从这三个盒子中抽取一个容量为25的样本,较为恰当的抽样方法是( )
A.简单随机抽样
B.系统抽样
C.分层抽样
D.以上三种均可

查看答案和解析>>

科目: 来源:2011-2012学年福建省三明市清流一中高二(上)12月段考数学试卷(文科)(解析版) 题型:选择题

曲线y=x3-2x+4在点(1,3)处的切线的倾斜角为( )
A.30°
B.60°
C.45°
D.120°

查看答案和解析>>

科目: 来源:2011-2012学年福建省三明市清流一中高二(上)12月段考数学试卷(文科)(解析版) 题型:选择题

下列命题中正确的是( )
①“若x2+y2≠0,则x,y不全为零”的否命题;
②“正多边形都相似”的逆命题;
③“若m>0,则x2+x-m=0有实根”的逆否命题;
④“若x-是有理数,则x是无理数”的逆否命题.
A.①②③④
B.①③④
C.②③④
D.①④

查看答案和解析>>

科目: 来源:2011-2012学年福建省三明市清流一中高二(上)12月段考数学试卷(文科)(解析版) 题型:选择题

图中所示的是一个算法的流程图,已知a1=3,输出的b=7,则a2的值是( )

A.11
B.7
C.14
D.3

查看答案和解析>>

科目: 来源:2011-2012学年福建省三明市清流一中高二(上)12月段考数学试卷(文科)(解析版) 题型:选择题

线性回归方程表示的直线必经过的一个定点是( )
A.
B.
C.
D.(0,0)

查看答案和解析>>

同步练习册答案