相关习题
 0  79649  79657  79663  79667  79673  79675  79679  79685  79687  79693  79699  79703  79705  79709  79715  79717  79723  79727  79729  79733  79735  79739  79741  79743  79744  79745  79747  79748  79749  79751  79753  79757  79759  79763  79765  79769  79775  79777  79783  79787  79789  79793  79799  79805  79807  79813  79817  79819  79825  79829  79835  79843  266669 

科目: 来源:2012-2013学年广东省深圳市南山区高二(上)期末数学试卷(文科)(解析版) 题型:解答题

已知关于x的函数,其导函数f′(x).
(1)如果函数,试确定b、c的值;
(2)设当x∈(0,1)时,函数y=f(x)-c(x+b)的图象上任一点P处的切线斜率为k,若k≤1,求实数b的取值范围.

查看答案和解析>>

科目: 来源:2010-2011学年湖北省襄阳市南漳一中高三(上)第四次月考数学试卷(文科)(解析版) 题型:选择题

若A={2,3,4},B={x|x=n•m,m,n∈A,m≠n},则集合B的元素个数为( )
A.5
B.4
C.3
D.2

查看答案和解析>>

科目: 来源:2010-2011学年湖北省襄阳市南漳一中高三(上)第四次月考数学试卷(文科)(解析版) 题型:选择题

已知向量=(2,3),=(-1,2),若m+n-2共线,则等于( )
A.-
B.
C.-2
D.2

查看答案和解析>>

科目: 来源:2010-2011学年湖北省襄阳市南漳一中高三(上)第四次月考数学试卷(文科)(解析版) 题型:选择题

为了得到函数y=sin2x的图象,可以将函数的图象( )
A.向右平移个单位
B.向左平移个单位
C.向右平移个单位
D.向左平移个单位

查看答案和解析>>

科目: 来源:2010-2011学年湖北省襄阳市南漳一中高三(上)第四次月考数学试卷(文科)(解析版) 题型:选择题

已知p:α为第二象限角,q:sinα>cosα,则p是q成立的( )
A.充分不必要条件
B.必要不充分条件
C.充要条件
D.既不充分也不必要条件

查看答案和解析>>

科目: 来源:2010-2011学年湖北省襄阳市南漳一中高三(上)第四次月考数学试卷(文科)(解析版) 题型:选择题

已知α∥β,a?α,B∈β,则在β内过点B的所有直线中( )
A.不一定存在与a平行的直线
B.只有两条与a平行的直线
C.存在无数条与a平行的直线
D.存在唯一一条与a平行的直线

查看答案和解析>>

科目: 来源:2010-2011学年湖北省襄阳市南漳一中高三(上)第四次月考数学试卷(文科)(解析版) 题型:选择题

已知0<a<b<1,则( )
A.3b<3a
B.loga3>logb3
C.(lga)2<(lgb)2
D.(a<(b

查看答案和解析>>

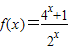
科目: 来源:2010-2011学年湖北省襄阳市南漳一中高三(上)第四次月考数学试卷(文科)(解析版) 题型:选择题

函数的图象( )
A.关于原点对称
B.关于直线y=x对称
C.关于x轴对称
D.关于y轴对称

查看答案和解析>>

科目: 来源:2010-2011学年湖北省襄阳市南漳一中高三(上)第四次月考数学试卷(文科)(解析版) 题型:选择题

已知向量满足=0,||=1,||=2,则|2-|=( )
A.0
B.
C.4
D.8

查看答案和解析>>

科目: 来源:2010-2011学年湖北省襄阳市南漳一中高三(上)第四次月考数学试卷(文科)(解析版) 题型:选择题

在△ABC中,内角A,B,C的对边分别是a,b,c,若a2-b2=bc,sinC=2sinB,则A=( )
A.30°
B.60°
C.120°
D.150°

查看答案和解析>>

同步练习册答案