相关习题
 0  79659  79667  79673  79677  79683  79685  79689  79695  79697  79703  79709  79713  79715  79719  79725  79727  79733  79737  79739  79743  79745  79749  79751  79753  79754  79755  79757  79758  79759  79761  79763  79767  79769  79773  79775  79779  79785  79787  79793  79797  79799  79803  79809  79815  79817  79823  79827  79829  79835  79839  79845  79853  266669 

科目: 来源:2011-2012学年广东省汕头市金平区东厦中学高二(上)期中数学试卷(理科)(解析版) 题型:选择题

已知△ABC中,AB=6,∠A=30°,∠B=120°,则△ABC的面积为( )
A.9
B.18
C.9
D.9

查看答案和解析>>

科目: 来源:2011-2012学年广东省汕头市金平区东厦中学高二(上)期中数学试卷(理科)(解析版) 题型:选择题

不等式2x2-x-3>0的解集为( )
A.
B.
C.
D.

查看答案和解析>>

科目: 来源:2011-2012学年广东省汕头市金平区东厦中学高二(上)期中数学试卷(理科)(解析版) 题型:选择题

已知a<b<0,c<d<0,那么下列判断中正确的是( )
A.a-c<b-d
B.ac>bd
C.
D.ad>bc

查看答案和解析>>

科目: 来源:2011-2012学年广东省汕头市金平区东厦中学高二(上)期中数学试卷(理科)(解析版) 题型:选择题

不等式组表示的平面区域是( )
A.
B.
C.
 

查看答案和解析>>

科目: 来源:2011-2012学年广东省汕头市金平区东厦中学高二(上)期中数学试卷(理科)(解析版) 题型:选择题

已知一等比数列的前三项依次为x,2x+2,3x+3,那么-13是此数列的第( )项.
A.2
B.4
C.6
D.8

查看答案和解析>>

科目: 来源:2011-2012学年广东省汕头市金平区东厦中学高二(上)期中数学试卷(理科)(解析版) 题型:选择题

设a>0,b>0,若是3a和3b的等比中项,则的最小值为( )
A.6
B.
C.8
D.9

查看答案和解析>>

科目: 来源:2011-2012学年广东省汕头市金平区东厦中学高二(上)期中数学试卷(理科)(解析版) 题型:选择题

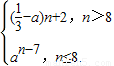
已知数列{an} 满足{an}=,若对于任意的n∈N*都有an>an+1,则实数a的取值范围是( )
A.(0,
B.(0,
C.(
D.(,1)

查看答案和解析>>

科目: 来源:2011-2012学年广东省汕头市金平区东厦中学高二(上)期中数学试卷(理科)(解析版) 题型:填空题

已知数列{an}为等差数列,且a2+a5+a8=6,则a5=   

查看答案和解析>>

科目: 来源:2011-2012学年广东省汕头市金平区东厦中学高二(上)期中数学试卷(理科)(解析版) 题型:填空题

在△ABC中,a2+b2=ab+c2,则∠C=   

查看答案和解析>>

科目: 来源:2011-2012学年广东省汕头市金平区东厦中学高二(上)期中数学试卷(理科)(解析版) 题型:填空题

若x+2y=1,则2x+4y的最小值是   

查看答案和解析>>

同步练习册答案