相关习题
 0  79681  79689  79695  79699  79705  79707  79711  79717  79719  79725  79731  79735  79737  79741  79747  79749  79755  79759  79761  79765  79767  79771  79773  79775  79776  79777  79779  79780  79781  79783  79785  79789  79791  79795  79797  79801  79807  79809  79815  79819  79821  79825  79831  79837  79839  79845  79849  79851  79857  79861  79867  79875  266669 

科目: 来源:2011-2012学年北京市朝阳区高一(下)期末数学试卷(解析版) 题型:填空题

已知cos(π+α)=-,则sin(-α)的值为   

查看答案和解析>>

科目: 来源:2011-2012学年北京市朝阳区高一(下)期末数学试卷(解析版) 题型:填空题

已知点A(-2,2),B(4,-2),则线段AB的垂直平分线的方程为   

查看答案和解析>>

科目: 来源:2011-2012学年北京市朝阳区高一(下)期末数学试卷(解析版) 题型:填空题

一艘船以20n mile/h的速度向正北方向航行,船在A处看见灯塔B在船的东北方向,1小时后船在C处看见灯塔B在船的北偏东75°的方向上,这时船与灯塔的距离BC为    n mile.

查看答案和解析>>

科目: 来源:2011-2012学年北京市朝阳区高一(下)期末数学试卷(解析版) 题型:填空题

若直线(a2+2a)x-y+1=0的倾斜角为钝角,则实数a的取值范围是   

查看答案和解析>>

科目: 来源:2011-2012学年北京市朝阳区高一(下)期末数学试卷(解析版) 题型:填空题

已知P、Q为△ABC内两点,且满足=+=+,则   

查看答案和解析>>

科目: 来源:2011-2012学年北京市朝阳区高一(下)期末数学试卷(解析版) 题型:解答题

在△ABC中,a,b,c分别是角A,B,C的对边,,且
(I)求ac的值及△ABC的面积;
(II)若a=7,求角C的大小.

查看答案和解析>>

科目: 来源:2011-2012学年北京市朝阳区高一(下)期末数学试卷(解析版) 题型:解答题

已知{an}为等比数列,a1=1,a4=27.Sn为等差数列{bn}的前n项和,b1=3,S5=35.
(1)求{an}和{bn}的通项公式;
(2)设Tn=a1b1+a2b2+…+anbn,求Tn

查看答案和解析>>

科目: 来源:2011-2012学年北京市朝阳区高一(下)期末数学试卷(解析版) 题型:解答题

已知函数,x∈R.
(I)求f(x)的最小正周期和值域;
(II)若为f(x)的一个零点,求sin2x的值.

查看答案和解析>>

科目: 来源:2011-2012学年北京市朝阳区高一(下)期末数学试卷(解析版) 题型:解答题

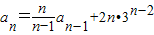
已知数列{an}中,a1=1,且(n≥2,n∈N*).
(I)求a2,a3的值及数列{an}的通项公式;
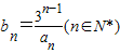
(II)令,数列{bn}的前n项和为Sn,试比较与n的大小;
(III)令,数列的前n项和为Tn,求证:对任意n∈N*,都有Tn<2.

查看答案和解析>>

科目: 来源:2012-2013学年四川省资阳市高一(下)期末数学试卷(解析版) 题型:选择题

直线l:x-2y-1=0在y轴上的截距是( )
A.1
B.-1
C.
D.

查看答案和解析>>

同步练习册答案