相关习题
 0  79722  79730  79736  79740  79746  79748  79752  79758  79760  79766  79772  79776  79778  79782  79788  79790  79796  79800  79802  79806  79808  79812  79814  79816  79817  79818  79820  79821  79822  79824  79826  79830  79832  79836  79838  79842  79848  79850  79856  79860  79862  79866  79872  79878  79880  79886  79890  79892  79898  79902  79908  79916  266669 

科目: 来源:2012-2013学年福建省三明市高一(下)期末数学试卷(解析版) 题型:解答题

如图①,四边形ABCD是矩形,AB=2AD=2a,E为AB的中点,在四边形ABCD中,将△AED沿DE折起,使A到A′位置,且A′M⊥BC,得到如图②所示的四棱锥A′-BCDE.
(Ⅰ)求证:A′M⊥平面BCDE;
(Ⅱ)求四棱锥A′-BCDE的体积;
(Ⅲ)判断直线A′D与BC的位置关系.

查看答案和解析>>

科目: 来源:2012-2013学年福建省三明市高一(下)期末数学试卷(解析版) 题型:解答题

已知直线l:mx+ny-1=0(m,n∈R*)与x轴相交于点A,与y轴相交于点B,且直线l与圆x2+y2=4相交所得弦长为2.
(Ⅰ)求出m与n的关系式;
(Ⅱ)若直线l与直线2x+y+5=0平行,求直线l的方程;
(Ⅲ)若点P是可行域内的一个点,是否存在实数m,n使得|OA|+|OB|的最小值为2,且直线l经过点P?若存在,求出m,n的值;若不存在,说明理由.

查看答案和解析>>

科目: 来源:2011-2012学年北京十八中高二(上)期末数学试卷(理科)(解析版) 题型:选择题

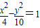
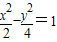
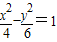
下列曲线中离心率为的是( )
A.
B.
C.
D.

查看答案和解析>>

科目: 来源:2011-2012学年北京十八中高二(上)期末数学试卷(理科)(解析版) 题型:选择题

下列有关命题的说法中错误的是( )
A.若p或q为假命题,则p、q均为假命题.
B.“x=1”是“x2-3x+2=0”的充分不必要条件.
C.命题“若x2-3x+2=0,则x=1”的逆否命题为:“若x≠1,则x2-3x+2≠0”.
D.对于命题p:存在x∈R使得x2+x+1<0,则非p:存在x∈R,使x2+x+1≥0.

查看答案和解析>>

科目: 来源:2011-2012学年北京十八中高二(上)期末数学试卷(理科)(解析版) 题型:选择题

如图,在Rt△ABC中,∠ABC=90°,P为△ABC所在平面外一点,PA⊥平面ABC,则四面体P-ABC中共有( )个直角三角形.
A.4
B.3
C.2
D.1

查看答案和解析>>

科目: 来源:2011-2012学年北京十八中高二(上)期末数学试卷(理科)(解析版) 题型:选择题

函数在点(1,1)处的切线方程为( )
A.x-y-2=0
B.x+y-2=0
C.x+4y-5=0
D.x-4y+3=0

查看答案和解析>>

科目: 来源:2011-2012学年北京十八中高二(上)期末数学试卷(理科)(解析版) 题型:选择题

△ABC中,A(-2,0)、B(2,0)、C(3,3),则 AB边的中线对应方程为( )
A.y=
B.y=x(0≤x≤3)
C.y=-
D.y=-x(0≤x≤3)

查看答案和解析>>

科目: 来源:2011-2012学年北京十八中高二(上)期末数学试卷(理科)(解析版) 题型:选择题

已知P为△ABC所在平面α外一点,侧面PAB、PAC、PBC与底面ABC所成的二面角都相等,则P点在平面α内的射影一定是△ABC的( )
A.内心
B.外心
C.垂心
D.重心

查看答案和解析>>

科目: 来源:2011-2012学年北京十八中高二(上)期末数学试卷(理科)(解析版) 题型:选择题

如图,椭圆上的点M到焦点F1的距离为2,N为MF1的中点,则|ON|(O为坐标原点)的值为( )

A.4
B.2
C.8
D.

查看答案和解析>>

科目: 来源:2011-2012学年北京十八中高二(上)期末数学试卷(理科)(解析版) 题型:选择题

已知△ABP的顶点A、B分别为双曲线的左、右焦点,顶点P在双曲线C上,则的值等于( )
A.
B.
C.
D.

查看答案和解析>>

同步练习册答案