相关习题
 0  79736  79744  79750  79754  79760  79762  79766  79772  79774  79780  79786  79790  79792  79796  79802  79804  79810  79814  79816  79820  79822  79826  79828  79830  79831  79832  79834  79835  79836  79838  79840  79844  79846  79850  79852  79856  79862  79864  79870  79874  79876  79880  79886  79892  79894  79900  79904  79906  79912  79916  79922  79930  266669 

科目: 来源:2010-2011学年浙江省温州市永嘉县四校联考高一(上)期中数学试卷(解析版) 题型:填空题

化简结果为   

查看答案和解析>>

科目: 来源:2010-2011学年浙江省温州市永嘉县四校联考高一(上)期中数学试卷(解析版) 题型:填空题

已知集合U={x|-3≤x≤3},M={x|-1<x<1},∁UN={x|0<x<2},M∩N=   

查看答案和解析>>

科目: 来源:2010-2011学年浙江省温州市永嘉县四校联考高一(上)期中数学试卷(解析版) 题型:填空题

幂函数y=f(x)的图象经过点(-2,),则满足f(x)=27的x的值是   

查看答案和解析>>

科目: 来源:2010-2011学年浙江省温州市永嘉县四校联考高一(上)期中数学试卷(解析版) 题型:填空题

已知集合A={x|log2x≤2},B=(-∞,a),若A⊆B则实数a的取值范围是(c,+∞),其中c=   

查看答案和解析>>

科目: 来源:2010-2011学年浙江省温州市永嘉县四校联考高一(上)期中数学试卷(解析版) 题型:填空题

若9x-2•3x+a>0恒成立,则实数a的取值范围是   

查看答案和解析>>

科目: 来源:2010-2011学年浙江省温州市永嘉县四校联考高一(上)期中数学试卷(解析版) 题型:填空题

有以下4个命题:
①A={x∈R|x2+1=0},B={x∈R|4<x<3},则A=B.
②已知函数f(x)是偶函数,而且在(0,+∞)上增函数,则在(-∞,0)上也是增函数.;
③函数f(x)=x2-(k2+3k+9)x+2(k是实常数)在区间(-∞,-2010)是减函数.

其中正确的命题序号是   

查看答案和解析>>

科目: 来源:2010-2011学年浙江省温州市永嘉县四校联考高一(上)期中数学试卷(解析版) 题型:解答题

计算
(1)lg20-lg2-log23•log32+2log
(2)(-1)+(+(

查看答案和解析>>

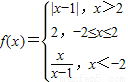
科目: 来源:2010-2011学年浙江省温州市永嘉县四校联考高一(上)期中数学试卷(解析版) 题型:解答题

定义在R上的函数f(x)满足
(1)求 f[f(-3)]
(2)试判断函数在区间(-∞,-2)上的单调性,并证明你的结论.

查看答案和解析>>

科目: 来源:2010-2011学年浙江省温州市永嘉县四校联考高一(上)期中数学试卷(解析版) 题型:解答题

从甲同学家到乙同学家的中途有一个公园,甲、乙两家离公园都是2km,甲从10点钟出发前往乙同学家.如图所示是甲同学从自己家出发到乙同学家经过的路程y(km)和时间x(min)的关系,根据图象回答下列问题:
(1)甲在公园休息了吗?若休息,休息了多长时间?
(2)写出y=f(x)的解析式.

查看答案和解析>>

科目: 来源:2010-2011学年浙江省温州市永嘉县四校联考高一(上)期中数学试卷(解析版) 题型:解答题

已知函数f(x)=x2-2x,g(x)=x2-2x,x∈[2,4]
(1)求f(x),g(x)函数的值域;
(2)函数H(x)=f(x-c)+g(x+c)定义域为[8,10],求c.
(3)函数H(x)=f(x-c)+g(x+c)(c≤0)的最大值为32,求c的值.

查看答案和解析>>

同步练习册答案