相关习题
0 79744 79752 79758 79762 79768 79770 79774 79780 79782 79788 79794 79798 79800 79804 79810 79812 79818 79822 79824 79828 79830 79834 79836 79838 79839 79840 79842 79843 79844 79846 79848 79852 79854 79858 79860 79864 79870 79872 79878 79882 79884 79888 79894 79900 79902 79908 79912 79914 79920 79924 79930 79938 266669
科目:
来源:2012-2013学年江西省南昌市高一(下)期末数学试卷(解析版)
题型:填空题
由正整数组成的一组数据x1,x2,x3,x4,其平均数和中位数都是2,且标准差等于1,则这组数据为 .(从小到大排列)
查看答案和解析>>
科目:
来源:2012-2013学年江西省南昌市高一(下)期末数学试卷(解析版)
题型:解答题
用For语句描述计算
1+

+

+

+…+

的值的一个程序.
查看答案和解析>>
科目:
来源:2012-2013学年江西省南昌市高一(下)期末数学试卷(解析版)
题型:解答题
已知关于x的不等式(a2-4)x2+(a+2)x-1≥0的解集是空集,求实数a的取值范围.
查看答案和解析>>
科目:
来源:2012-2013学年江西省南昌市高一(下)期末数学试卷(解析版)
题型:解答题
从3名男生和2名女生中任选两人参加演讲比赛,试求:
(1)所选2人都是男生的概率;
(2)所选2人恰有1名女生的概率;
(3)所选2人至少有1名女生的概率.
查看答案和解析>>
科目:
来源:2012-2013学年江西省南昌市高一(下)期末数学试卷(解析版)
题型:解答题
某商场预计全年分批购入每台价值为2000元的电视机共3600台.每批都购入x台(x∈N*),且每批均需付运费400元.贮存购入所有的电视机全年所付保管费与每批购入电视机的总价值(不含运费)成正比,比例系数为k(k>0),若每批购入400台,则全年需用去运输和保管总费用43600元.
(1)求k的值;
(2)现在全年只有24000元资金用于支付这笔费用,请问能否恰当安排每批进货的数量使资金够用?写出你的结论,并说明理由.
查看答案和解析>>
科目:
来源:2012-2013学年江西省南昌市高一(下)期末数学试卷(解析版)
题型:解答题
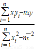
某种产品的广告费用支出x(万元)与销售额y(万元)之间有如下的对应数据:
(1)画出散点图;
(2)求回归直线方程;
(3)据此估计广告费用为9万元时,销售收入y的值.(参考公式:线性回归方程系数公式:

=

,

=

-


)
查看答案和解析>>
科目:
来源:2012-2013学年浙江省宁波市三校联考高二(下)期末数学试卷(理科)(解析版)
题型:选择题
若集合M={-1,0,1},N={y|y=sinx,x∈M},则M∩N=( )
A.{1}
B.{0}
C.{-1}
D.{-1,0,1}
查看答案和解析>>
科目:
来源:2012-2013学年浙江省宁波市三校联考高二(下)期末数学试卷(理科)(解析版)
题型:选择题
命题p:?x∈[0,+∞),(log32)x≤1,则( )
A.p是假命题,¬p:?x∈[0,+∞),(log32)x>1
B.p是假命题,¬p:?x∈[0,+∞),(log32)x>1
C.p是真命题,¬p:?x∈[0,+∞),(log32)x>1
D.p是真命题,¬p:?x∈[0,+∞),(log32)x≥1
查看答案和解析>>
科目:
来源:2012-2013学年浙江省宁波市三校联考高二(下)期末数学试卷(理科)(解析版)
题型:选择题
幂函数f(x)=xα的图象过点(2,4),那么函数f(x)的单调递增区间是( )
A.(-2,+∞)
B.[-1,+∞)
C.[0,+∞)
D.(-∞,-2)
查看答案和解析>>
科目:
来源:2012-2013学年浙江省宁波市三校联考高二(下)期末数学试卷(理科)(解析版)
题型:选择题
已知集合S={x∈N|-2<x-1<4,且x≠1},则集合S的真子集的个数是( )
A.32
B.31
C.16
D.15
查看答案和解析>>