相关习题
 0  79935  79943  79949  79953  79959  79961  79965  79971  79973  79979  79985  79989  79991  79995  80001  80003  80009  80013  80015  80019  80021  80025  80027  80029  80030  80031  80033  80034  80035  80037  80039  80043  80045  80049  80051  80055  80061  80063  80069  80073  80075  80079  80085  80091  80093  80099  80103  80105  80111  80115  80121  80129  266669 

科目: 来源:2010-2011学年浙江省嘉兴一中高二(下)3月月考数学试卷(理科)(解析版) 题型:选择题

如图所示的是函数f(x)=x3+bx2+cx+d的大致图象,则x12+x22等于( )
A.
B.
C.
D.

查看答案和解析>>

科目: 来源:2010-2011学年浙江省嘉兴一中高二(下)3月月考数学试卷(理科)(解析版) 题型:选择题

定义在R上的函数f(x)满足f(4)=1,f'(x)为f(x)的导函数,已知y=f'(x)的图象如图所示,若两个正数a,b满足的取值范围是( )

A.
B.
C.
D.(-∞,3)

查看答案和解析>>

科目: 来源:2010-2011学年浙江省嘉兴一中高二(下)3月月考数学试卷(理科)(解析版) 题型:选择题

已知f(x)与g(x)是定义在R上的连续函数,如果f(x)与g(x)仅当x=0时的函数值为0,且f(x)≥g(x),那么下列情形不可能出现的是( )
A.0是f(x)的极大值,也是g(x)的极大值
B.0是f(x)的极小值,也是g(x)的极小值
C.0是f(x)的极大值,但不是g(x)的极值
D.0是f(x)的极小值,但不是g(x)的极值

查看答案和解析>>

科目: 来源:2010-2011学年浙江省嘉兴一中高二(下)3月月考数学试卷(理科)(解析版) 题型:填空题

若f(x)=x3,f′(x)=3,则x的值为    

查看答案和解析>>

科目: 来源:2010-2011学年浙江省嘉兴一中高二(下)3月月考数学试卷(理科)(解析版) 题型:填空题

曲线y=x3-4x在点(1,-3)处的切线倾斜角为   

查看答案和解析>>

科目: 来源:2010-2011学年浙江省嘉兴一中高二(下)3月月考数学试卷(理科)(解析版) 题型:填空题

函数f(x)=xlnx的单调递增区间是   

查看答案和解析>>

科目: 来源:2010-2011学年浙江省嘉兴一中高二(下)3月月考数学试卷(理科)(解析版) 题型:填空题

已知函数f(x)的导函数为f′(x),且满足f(x)=3x2+2f′(2),则f′(2)=   

查看答案和解析>>

科目: 来源:2010-2011学年浙江省嘉兴一中高二(下)3月月考数学试卷(理科)(解析版) 题型:填空题

如图为函数f(x)的图象,f′(x)为函数f(x)的导函数,则不等式x•f′(x)<0的解集为   

查看答案和解析>>

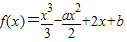
科目: 来源:2010-2011学年浙江省嘉兴一中高二(下)3月月考数学试卷(理科)(解析版) 题型:填空题

函数在区间[-1,2]上不单调,则a的取值范围为   

查看答案和解析>>

科目: 来源:2010-2011学年浙江省嘉兴一中高二(下)3月月考数学试卷(理科)(解析版) 题型:解答题

求下列函数的导数
(1)y=xtanx(2)y=2xlnx.

查看答案和解析>>

同步练习册答案