相关习题
0 79943 79951 79957 79961 79967 79969 79973 79979 79981 79987 79993 79997 79999 80003 80009 80011 80017 80021 80023 80027 80029 80033 80035 80037 80038 80039 80041 80042 80043 80045 80047 80051 80053 80057 80059 80063 80069 80071 80077 80081 80083 80087 80093 80099 80101 80107 80111 80113 80119 80123 80129 80137 266669
科目:
来源:2009-2010学年浙江省台州中学高一(下)第一次月考数学试卷(解析版)
题型:填空题
一船向正北航行,看见正东方向有相距8海里的两个灯塔恰好在一条直线上.继续航行半小时后,看见一灯塔在船的南偏东60°,另一灯塔在船的南偏东75°,则这艘船每小时航行 海里.
查看答案和解析>>
科目:
来源:2009-2010学年浙江省台州中学高一(下)第一次月考数学试卷(解析版)
题型:填空题
不等式|x+3|-|x-1|≤a2-3a对任意实数x恒成立,则实数a的取值范围为 .
查看答案和解析>>
科目:
来源:2009-2010学年浙江省台州中学高一(下)第一次月考数学试卷(解析版)
题型:解答题
比较下列各组中两个代数式的大小:
(1)x2+3与3x;
(2)已知a,b为正数,且a≠b,比较a3+b3与a2b+ab2.
查看答案和解析>>
科目:
来源:2009-2010学年浙江省台州中学高一(下)第一次月考数学试卷(解析版)
题型:解答题
某林场为了保护生态环境,制定了植树造林的两个五年计划,第一年植树16a亩,以后每年植树面积都比上一年增加50%,但从第六年开始,每年植树面积都比上一年减少a亩.
(1)求该林场第6年植树的面积;
(2)设前n(1≤n≤10且n∈N)年林场植树的总面积为Sn亩,求Sn的表达式.
查看答案和解析>>
科目:
来源:2009-2010学年浙江省台州中学高一(下)第一次月考数学试卷(解析版)
题型:解答题
建造一条防洪堤,其断面为等腰梯形,腰与底边成角为60°(如图),考虑到防洪堤坚固性及石块用料等因素,设计其断面面积为

平方米,为了使堤的上面与两侧面的水泥用料最省,则断面的外周长(梯形的上底线段BC与两腰长的和)要最小.
(1)求外周长的最小值,此时防洪堤高h为多少米?
(2)如防洪堤的高限制在

的范围内,外周长最小为多少米?

查看答案和解析>>
科目:
来源:2009-2010学年浙江省台州中学高一(下)第一次月考数学试卷(解析版)
题型:解答题
在△ABC中,a,b,c分别为角A、B、C的对边,且满足b
2+c
2-a
2=bc.
(Ⅰ)求角A的值;
(Ⅱ)若a=

,设角B的大小为x,△ABC的周长为y,求y=f(x)的最大值.
查看答案和解析>>
科目:
来源:2009-2010学年浙江省台州中学高一(下)第一次月考数学试卷(解析版)
题型:解答题
已知数列{a
n}是首项为

,公比

的等比数列,设

,数列{c
n}满足c
n=a
n•b
n.
(1)求证:{b
n}是等差数列;
(2)求数列{c
n}的前n项和S
n;
(3)若

对一切正整数n恒成立,求实数m的取值范围.
查看答案和解析>>
科目:
来源:2010-2011学年浙江省杭州二中高三(上)10月月考数学试卷(文科)(解析版)
题型:选择题
已知集合A={y|y=x2+1},B={x|y=x2+2},则下列正确的是( )
A.A∩B={x|x≥1}
B.A∩B={x|x≥2}
C.A∪B={x|x≥1}
D.A∪B={x|x≥2}
查看答案和解析>>
科目:
来源:2010-2011学年浙江省杭州二中高三(上)10月月考数学试卷(文科)(解析版)
题型:选择题
下列命题中,真命题是( )
A.

B.?x∈(3,+∞),x
2>2x+1
C.?x∈R,x
2+x=-1
D.

查看答案和解析>>
科目:
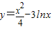
来源:2010-2011学年浙江省杭州二中高三(上)10月月考数学试卷(文科)(解析版)
题型:选择题
已知曲线

的一条切线的斜率为

,则切点的横坐标为( )
A.3
B.2
C.1
D.

查看答案和解析>>