相关习题
 0  79953  79961  79967  79971  79977  79979  79983  79989  79991  79997  80003  80007  80009  80013  80019  80021  80027  80031  80033  80037  80039  80043  80045  80047  80048  80049  80051  80052  80053  80055  80057  80061  80063  80067  80069  80073  80079  80081  80087  80091  80093  80097  80103  80109  80111  80117  80121  80123  80129  80133  80139  80147  266669 

科目: 来源:2012-2013学年江西省吉安市安福中学高三(上)第三次段考数学试卷 (理科)(解析版) 题型:选择题

(理科)设等比数列{an}的前n项和为Sn,已知a1=2,且an+2an+1+an+2=0(n∈N*),则S2010=( )
A.2
B.0
C.-2
D.200

查看答案和解析>>

科目: 来源:2012-2013学年江西省吉安市安福中学高三(上)第三次段考数学试卷 (理科)(解析版) 题型:选择题

已知命题p:?x∈(-∞,0),2x<3x;命题q:?x∈(0,),tanx>sinx,则下列命题为真命题的是( )
A.p∧q
B.p∨(﹁q)
C.(﹁p)∧q
D.p∧(﹁q)

查看答案和解析>>

科目: 来源:2012-2013学年江西省吉安市安福中学高三(上)第三次段考数学试卷 (理科)(解析版) 题型:选择题

已知ab∈R,且a、G、b成等差数列,a、H、b成等比数列,则“a=b”是“G=H”的( )
A.充分不必要条件
B.必要不充分条件
C.充要条件
D.既不充分也不必要条件

查看答案和解析>>

科目: 来源:2012-2013学年江西省吉安市安福中学高三(上)第三次段考数学试卷 (理科)(解析版) 题型:选择题

已知函数f(x)=loga(x+b)的大致图象如图,其中a,b为常数,则函数g(x)=ax+b的大致图象是( )
A.
B.
C.
D.

查看答案和解析>>

科目: 来源:2012-2013学年江西省吉安市安福中学高三(上)第三次段考数学试卷 (理科)(解析版) 题型:选择题

若互不相等的实数a,b,c成等差数列,c,a,b成等比数列,且a+3b+c=10,则a=( )
A.4
B.2
C.-2
D.-4

查看答案和解析>>

科目: 来源:2012-2013学年江西省吉安市安福中学高三(上)第三次段考数学试卷 (理科)(解析版) 题型:选择题

(文)若点P是曲线y=x2-lnx上任意一点,则点P到直线y=x-2的最小距离为( )
A.1
B.
C.
D.

查看答案和解析>>

科目: 来源:2012-2013学年江西省吉安市安福中学高三(上)第三次段考数学试卷 (理科)(解析版) 题型:选择题

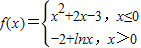
函数的零点个数为( )
A.3
B.2
C.1
D.0

查看答案和解析>>

科目: 来源:2012-2013学年江西省吉安市安福中学高三(上)第三次段考数学试卷 (理科)(解析版) 题型:选择题

已知函数f(n)=n2cos(nπ),且an=f(n)+f(n+1),则a1+a2+a3+…+a100=( )
A.0
B.-100
C.100
D.10200

查看答案和解析>>

科目: 来源:2012-2013学年江西省吉安市安福中学高三(上)第三次段考数学试卷 (理科)(解析版) 题型:填空题

等差数列{an}中,a1+a2+a3=-24,a18+a19+a20=78,则此数列前20项和等于   

查看答案和解析>>

科目: 来源:2012-2013学年江西省吉安市安福中学高三(上)第三次段考数学试卷 (理科)(解析版) 题型:填空题

设A:x(x-1)<0,B:0<x<m若B是A成立的必要不充分条件,则m取值范围为   

查看答案和解析>>

同步练习册答案