相关习题
 0  79959  79967  79973  79977  79983  79985  79989  79995  79997  80003  80009  80013  80015  80019  80025  80027  80033  80037  80039  80043  80045  80049  80051  80053  80054  80055  80057  80058  80059  80061  80063  80067  80069  80073  80075  80079  80085  80087  80093  80097  80099  80103  80109  80115  80117  80123  80127  80129  80135  80139  80145  80153  266669 

科目: 来源:2010-2011学年黑龙江省哈尔滨九中高三(上)期末数学试卷(文科)(解析版) 题型:选择题

椭圆上有一点P,F1,F2是椭圆的左、右焦点,△F1PF2为直角三角形,则这样的点P有( )
A.3个
B.4个
C.6个
D.8个

查看答案和解析>>

科目: 来源:2010-2011学年黑龙江省哈尔滨九中高三(上)期末数学试卷(文科)(解析版) 题型:选择题

将函数y=3sin2x的图象按向量平移之后所得函数图象的解析式为( )
A.
B.
C.
D.

查看答案和解析>>

科目: 来源:2010-2011学年黑龙江省哈尔滨九中高三(上)期末数学试卷(文科)(解析版) 题型:选择题

已知,且u=x2+y2-4x-4y+8,则u的最小值为( )
A.
B.
C.
D.

查看答案和解析>>

科目: 来源:2010-2011学年黑龙江省哈尔滨九中高三(上)期末数学试卷(文科)(解析版) 题型:选择题

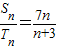
若两个等差数列{an}和{bn}的前n项和分别是Sn和Tn,已知,则=( )
A.7
B.
C.
D.

查看答案和解析>>

科目: 来源:2010-2011学年黑龙江省哈尔滨九中高三(上)期末数学试卷(文科)(解析版) 题型:选择题

已知,则夹角的取值范围是( )
A.
B.
C.
D.

查看答案和解析>>

科目: 来源:2010-2011学年黑龙江省哈尔滨九中高三(上)期末数学试卷(文科)(解析版) 题型:选择题

已知M是椭圆上一点,两焦点为F1,F2,点P是△MF1F2的内心,连接MP并延长交F1F2于N,则的值为( )
A.
B.
C.
D.

查看答案和解析>>

科目: 来源:2010-2011学年黑龙江省哈尔滨九中高三(上)期末数学试卷(文科)(解析版) 题型:填空题

(i为虚数单位),则a+b=   

查看答案和解析>>

科目: 来源:2010-2011学年黑龙江省哈尔滨九中高三(上)期末数学试卷(文科)(解析版) 题型:填空题

AB是抛物线y2=x的一条焦点弦,若|AB|=4,则AB的中点到直线的距离为    

查看答案和解析>>

科目: 来源:2010-2011学年黑龙江省哈尔滨九中高三(上)期末数学试卷(文科)(解析版) 题型:填空题

若a,b,c是直角三角形△ABC的三边的长(c为斜边),则圆C:x2+y2=4被直线l:ax+by+c=0所截得的弦长为   

查看答案和解析>>

科目: 来源:2010-2011学年黑龙江省哈尔滨九中高三(上)期末数学试卷(文科)(解析版) 题型:填空题

设{an}是公比为q的等比数列,其前项积为,并满足条件,给出下列结论:(1)0<q<1;(2)T198<1;(3)a99a101<1;(4)使Tn<1成立的最小自然数n等于199,其中正确的编号为   

查看答案和解析>>

同步练习册答案