相关习题
 0  80012  80020  80026  80030  80036  80038  80042  80048  80050  80056  80062  80066  80068  80072  80078  80080  80086  80090  80092  80096  80098  80102  80104  80106  80107  80108  80110  80111  80112  80114  80116  80120  80122  80126  80128  80132  80138  80140  80146  80150  80152  80156  80162  80168  80170  80176  80180  80182  80188  80192  80198  80206  266669 

科目: 来源:2009-2010学年北京市首师大附中高三(上)12月月考数学试卷(文科)(解析版) 题型:选择题

设曲线y=xn+1(n∈N*)在点(1,1)处的切线与x轴的交点的横坐标为xn,则x1•x2•…•xn的值为( )
A.
B.
C.
D.1

查看答案和解析>>

科目: 来源:2009-2010学年北京市首师大附中高三(上)12月月考数学试卷(文科)(解析版) 题型:选择题

设函数f(x)=x-lnx(x>0),则y=f(x)( )
A.在区间(,1),(l,e)内均有零点
B.在区间(,1),(l,e)内均无零点
C.在区间(,1)内无零点,在区间(l,e)内有零点
D.在区间(,1)内有零点,在区间(l,e)内无零点

查看答案和解析>>

科目: 来源:2009-2010学年北京市首师大附中高三(上)12月月考数学试卷(文科)(解析版) 题型:选择题

已知定点A(2,0),圆O的方程为x2+y2=8,动点M在圆O上,那么∠OMA的最大值是( )
A.
B.
C.
D.

查看答案和解析>>

科目: 来源:2009-2010学年北京市首师大附中高三(上)12月月考数学试卷(文科)(解析版) 题型:填空题

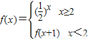
已知函数,则函数f(log23)的值为   

查看答案和解析>>

科目: 来源:2009-2010学年北京市首师大附中高三(上)12月月考数学试卷(文科)(解析版) 题型:填空题

已知圆x2+y2+x-6y+m=0和直线x+2y-3=0交于P,Q两点,且( C为圆心).则该圆的半径为    ,m的值为   

查看答案和解析>>

科目: 来源:2009-2010学年北京市首师大附中高三(上)12月月考数学试卷(文科)(解析版) 题型:填空题

已知两个正数x,y满足x+y=4,则使不等式恒成立的实数m的范围是    

查看答案和解析>>

科目: 来源:2009-2010学年北京市首师大附中高三(上)12月月考数学试卷(文科)(解析版) 题型:填空题

抛物线y2=4x上的点P到抛物线的准线距离为d1,到直线3x-4y+9=0的距离为d2,则d1+d2的最小值是   

查看答案和解析>>

科目: 来源:2009-2010学年北京市首师大附中高三(上)12月月考数学试卷(文科)(解析版) 题型:填空题

右图为某一几何体的展开图,其中ABCD是边长为6的正方形,SD=PD=6,CR=SC,AQ=AP,点S、D、A、Q及P、D、C、R共线.沿图中虚线将它们折叠起来,使P、Q、R、S四点重合于D1,这个几何体的体积为    ,需要    个这样的几何体才能拼成一个棱长为6的正方体.

查看答案和解析>>

科目: 来源:2009-2010学年北京市首师大附中高三(上)12月月考数学试卷(文科)(解析版) 题型:填空题

在平面直角坐标系中,横坐标、纵坐标均为整数的点称为整点,如果函数f(x)的图象恰好通过n(n∈N*)个整点,则称函数f(x)为n阶整点函数、有下列函数:①f(x)=sin 2x;②g(x)=x3;③h(x)=(x;④φ(x)=ln x,其中是一阶整点函数的是    

查看答案和解析>>

科目: 来源:2009-2010学年北京市首师大附中高三(上)12月月考数学试卷(文科)(解析版) 题型:解答题

在△ABC中,∠A,∠B,∠C所对边分别为a,b,c.已知且.
(1)求∠A大小.
(2)若,求△ABC的面积S的大小.

查看答案和解析>>

同步练习册答案