相关习题
 0  80027  80035  80041  80045  80051  80053  80057  80063  80065  80071  80077  80081  80083  80087  80093  80095  80101  80105  80107  80111  80113  80117  80119  80121  80122  80123  80125  80126  80127  80129  80131  80135  80137  80141  80143  80147  80153  80155  80161  80165  80167  80171  80177  80183  80185  80191  80195  80197  80203  80207  80213  80221  266669 

科目: 来源:2010-2011学年山东省济南外国语学校高二(下)入学数学试卷(理科)(解析版) 题型:选择题

在△ABC中,a,b,c分别是A、B、C的对边,已知sinA,sinB,sinC成等比数列,且a2=c(a+c-b),则角A为( )
A.
B.
C.
D.

查看答案和解析>>

科目: 来源:2010-2011学年山东省济南外国语学校高二(下)入学数学试卷(理科)(解析版) 题型:选择题

已知△ABC的三个顶点A、B、C及平面内一点P,若,则点P与△ABC的位置关系是( )
A.P在AB边上
B.P在AC边上或其延长线上
C.P在△ABC的内部
D.P在△ABC的外部

查看答案和解析>>

科目: 来源:2010-2011学年山东省济南外国语学校高二(下)入学数学试卷(理科)(解析版) 题型:选择题

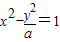
已知抛物线y2=2px(p>0)上一点M(1,m)到其焦点的距离为5,双曲线的左顶点为A,若双曲线一条渐近线与直线AM垂直,则实数a=( )
A.
B.2
C.
D.

查看答案和解析>>

科目: 来源:2010-2011学年山东省济南外国语学校高二(下)入学数学试卷(理科)(解析版) 题型:填空题

已知x>0,y>0,且x+y=1,求的最小值是   

查看答案和解析>>

科目: 来源:2010-2011学年山东省济南外国语学校高二(下)入学数学试卷(理科)(解析版) 题型:填空题

设等差数列{an}的前n项和为Sn,若a1=-11,a4+a6=-6,则当Sn取最小值时,n等于   

查看答案和解析>>

科目: 来源:2010-2011学年山东省济南外国语学校高二(下)入学数学试卷(理科)(解析版) 题型:填空题

已知,则的最小值   

查看答案和解析>>

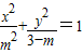
科目: 来源:2010-2011学年山东省济南外国语学校高二(下)入学数学试卷(理科)(解析版) 题型:填空题

椭圆的一个焦点为(0,1),则m等于   

查看答案和解析>>

科目: 来源:2010-2011学年山东省济南外国语学校高二(下)入学数学试卷(理科)(解析版) 题型:解答题

在△ABC中,角A,B,C的对边分别为a,b,c,且满足
(1)求△ABC的面积.
(2)若b+c=6,求a的值.

查看答案和解析>>

科目: 来源:2010-2011学年山东省济南外国语学校高二(下)入学数学试卷(理科)(解析版) 题型:解答题

围建一个面积为360m2的矩形场地,要求矩形场地的一面利用旧墙(利用旧墙需维修),其它三面围墙要新建,在旧墙的对面的新墙上要留一个宽度为2m的进出口,如图所示,已知旧墙的维修费用为45元/m,新墙的造价为180元/m,设利用的旧墙的长度为x(单位:米).
(1)将修建围墙的总费用y表示成x的函数;
(2)当x为何值时,修建此矩形场地围墙的总费用最小?并求出最小总费用.

查看答案和解析>>

科目: 来源:2010-2011学年山东省济南外国语学校高二(下)入学数学试卷(理科)(解析版) 题型:解答题

已知数列{an}中,a1=1,a2=3,且点(n,an)满足函数y=kx+B、
(1)求k,b的值,并写出数列{an}的通项公式;
(2)记,求数列{bn}的前n和Sn

查看答案和解析>>

同步练习册答案