相关习题
0 80113 80121 80127 80131 80137 80139 80143 80149 80151 80157 80163 80167 80169 80173 80179 80181 80187 80191 80193 80197 80199 80203 80205 80207 80208 80209 80211 80212 80213 80215 80217 80221 80223 80227 80229 80233 80239 80241 80247 80251 80253 80257 80263 80269 80271 80277 80281 80283 80289 80293 80299 80307 266669
科目:
来源:2010-2011学年广东省广州27中高三(上)期末数学试卷(解析版)
题型:填空题
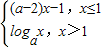
已知函数f(x)=

若f(x)在(-∞,+∞)上单调递增,则实数a的取值范围为
查看答案和解析>>
科目:
来源:2010-2011学年广东省广州27中高三(上)期末数学试卷(解析版)
题型:填空题
如图,点O为正方体ABCD-A′B′C′D′的中心,点E为面B′BCC′的中心,点F为B′C′的中点,则空间四边形D′OEF在该正方体的面上的正投影可能是
(填出所有可能的序号).

查看答案和解析>>
科目:
来源:2010-2011学年广东省广州27中高三(上)期末数学试卷(解析版)
题型:填空题
如图,AB是半圆O的直径,点C在半圆上,CD⊥AB,垂足为D,且AD=5DB,设∠COD=θ,则tanθ的值为
.

查看答案和解析>>
科目:
来源:2010-2011学年广东省广州27中高三(上)期末数学试卷(解析版)
题型:填空题
在极坐标系中,已知两点A、B的极坐标分别为(3,

),(4,

),则△AOB(其中O为极点)的面积为
.
查看答案和解析>>
科目:
来源:2010-2011学年广东省广州27中高三(上)期末数学试卷(解析版)
题型:解答题
已知函数f(x)=sinxcosφ+cosxsinφ(其中x∈R,0<φ<π).
(1)求函数f(x)的最小正周期;
(2)若函数

的图象关于直线

对称,求φ的值.
查看答案和解析>>
科目:
来源:2010-2011学年广东省广州27中高三(上)期末数学试卷(解析版)
题型:解答题
某公司为庆祝元旦举办了一个抽奖活动,现场准备的抽奖箱里放置了分别标有数字1000、800﹑600、0的四个球(球的大小相同).参与者随机从抽奖箱里摸取一球(取后即放回),公司即赠送与此球上所标数字等额的奖金(元),并规定摸到标有数字0的球时可以再摸一次﹐但是所得奖金减半(若再摸到标有数字0的球就没有第三次摸球机会),求一个参与抽奖活动的人可得奖金的期望值是多少元.
查看答案和解析>>
科目:
来源:2010-2011学年广东省广州27中高三(上)期末数学试卷(解析版)
题型:解答题
如图,正方形ABCD所在平面与圆O所在平面相交于CD,线段CD为圆O的弦,AE垂直于圆O所在平面,垂足E是圆O上异于C、D的点,AE=3,圆O的直径为9.
(1)求证:平面ABCD⊥平面ADE;
(2)求二面角D-BC-E的平面角的正切值.

查看答案和解析>>
科目:
来源:2010-2011学年广东省广州27中高三(上)期末数学试卷(解析版)
题型:解答题
已知a∈R,函数

,g(x)=(lnx-1)e
x+x(其中e为自然对数的底数).
(1)求函数f(x)在区间(0,e]上的最小值;
(2)是否存在实数x
∈(0,e],使曲线y=g(x)在点x=x
处的切线与y轴垂直?若存在,求出x
的值;若不存在,请说明理由.
查看答案和解析>>
科目:
来源:2010-2011学年广东省广州27中高三(上)期末数学试卷(解析版)
题型:解答题
已知点F(0,1),直线l:y=-1,P为平面上的动点,过点P作直线l的垂线,垂足为Q,且

.
(1)求动点P的轨迹C的方程;
(2)已知圆M过定点D(0,2),圆心M在轨迹C上运动,且圆M与x轴交于A、B两点,设|DA|=l
1,|DB|=l
2,求

的最大值.
查看答案和解析>>
科目:
来源:2010-2011学年广东省广州27中高三(上)期末数学试卷(解析版)
题型:解答题
设数列{a
n}的前n项和为S
n,且对任意的n∈N
*,都有a
n>0,

.
(1)求a
1,a
2的值;
(2)求数列{a
n}的通项公式a
n;
(3)证明:a
2n+1n≥a
2nn+a
2n-1n.
查看答案和解析>>