相关习题
 0  80115  80123  80129  80133  80139  80141  80145  80151  80153  80159  80165  80169  80171  80175  80181  80183  80189  80193  80195  80199  80201  80205  80207  80209  80210  80211  80213  80214  80215  80217  80219  80223  80225  80229  80231  80235  80241  80243  80249  80253  80255  80259  80265  80271  80273  80279  80283  80285  80291  80295  80301  80309  266669 

科目: 来源:2010-2011学年山东省济南外国语学校高二(下)入学数学试卷(文科)(解析版) 题型:填空题

已知x>0,y>0,且x+y=1,求的最小值是   

查看答案和解析>>

科目: 来源:2010-2011学年山东省济南外国语学校高二(下)入学数学试卷(文科)(解析版) 题型:填空题

函数的导数为   

查看答案和解析>>

科目: 来源:2010-2011学年山东省济南外国语学校高二(下)入学数学试卷(文科)(解析版) 题型:填空题

设等差数列{an}的前n项和为Sn,若a1=-11,a4+a6=-6,则当Sn取最小值时,n等于   

查看答案和解析>>

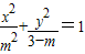
科目: 来源:2010-2011学年山东省济南外国语学校高二(下)入学数学试卷(文科)(解析版) 题型:填空题

椭圆的一个焦点为(0,1),则m等于   

查看答案和解析>>

科目: 来源:2010-2011学年山东省济南外国语学校高二(下)入学数学试卷(文科)(解析版) 题型:解答题

在△ABC中,角A,B,C的对边分别为a,b,c,且满足
(1)求△ABC的面积.
(2)若b+c=6,求a的值.

查看答案和解析>>

科目: 来源:2010-2011学年山东省济南外国语学校高二(下)入学数学试卷(文科)(解析版) 题型:解答题

围建一个面积为360m2的矩形场地,要求矩形场地的一面利用旧墙(利用旧墙需维修),其它三面围墙要新建,在旧墙的对面的新墙上要留一个宽度为2m的进出口,如图所示,已知旧墙的维修费用为45元/m,新墙的造价为180元/m,设利用的旧墙的长度为x(单位:米).
(1)将修建围墙的总费用y表示成x的函数;
(2)当x为何值时,修建此矩形场地围墙的总费用最小?并求出最小总费用.

查看答案和解析>>

科目: 来源:2010-2011学年山东省济南外国语学校高二(下)入学数学试卷(文科)(解析版) 题型:解答题

已知数列{an}中,a1=1,a2=3,且点(n,an)满足函数y=kx+B、
(1)求k,b的值,并写出数列{an}的通项公式;
(2)记,求数列{bn}的前n和Sn

查看答案和解析>>

科目: 来源:2010-2011学年山东省济南外国语学校高二(下)入学数学试卷(文科)(解析版) 题型:解答题

已知函数f(x)=4x3+ax2+bx+5的图象在x=1处的切线方程为y=-12x.
(1)求函数f(x)的解析式;
(2)求函数f(x)在[-3,1]上的最值.

查看答案和解析>>

科目: 来源:2010-2011学年山东省济南外国语学校高二(下)入学数学试卷(文科)(解析版) 题型:解答题

已知椭圆的一个顶点为(-2,0),焦点在x轴上,且离心率为
(1)求椭圆的标准方程.
(2)斜率为1的直线l与椭圆交于A、B两点,O为原点,当△AOB的面积最大时,求直线l的方程.

查看答案和解析>>

科目: 来源:2010-2011学年广东省广州27中高三(上)期末数学试卷(解析版) 题型:选择题

复数(3i-1)i的共轭复数是( )
A.-3+i
B.-3-i
C.3+i
D.3-i

查看答案和解析>>

同步练习册答案