相关习题
 0  80124  80132  80138  80142  80148  80150  80154  80160  80162  80168  80174  80178  80180  80184  80190  80192  80198  80202  80204  80208  80210  80214  80216  80218  80219  80220  80222  80223  80224  80226  80228  80232  80234  80238  80240  80244  80250  80252  80258  80262  80264  80268  80274  80280  80282  80288  80292  80294  80300  80304  80310  80318  266669 

科目: 来源:2012-2013学年贵州省黔西南州册亨二中高三(上)9月月考数学试卷(文科)(解析版) 题型:选择题

已知f(x)是R上最小正周期为2的周期函数,且当0≤x<2时,f(x)=x3-x,则函数y=f(x)的图象在区间[0,6]上与x轴的交点的个数为( )
A.6
B.7
C.8
D.9

查看答案和解析>>

科目: 来源:2012-2013学年贵州省黔西南州册亨二中高三(上)9月月考数学试卷(文科)(解析版) 题型:选择题

若a>0,b>0,ab>1,a=ln2,则logab与a的关系是( )
A.logab<a
B.logab=
C.logab>
D.logab≤

查看答案和解析>>

科目: 来源:2012-2013学年贵州省黔西南州册亨二中高三(上)9月月考数学试卷(文科)(解析版) 题型:选择题

函数f(x)=在区间(1,2)内是减函数,则实数a的取值范围是( )
A.a≤2
B.a>2
C.a≤1
D.0<a<1

查看答案和解析>>

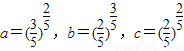
科目: 来源:2012-2013学年贵州省黔西南州册亨二中高三(上)9月月考数学试卷(文科)(解析版) 题型:选择题

,则a,b,c的大小关系是( )
A.a>c>b
B.a>b>c
C.c>a>b
D.b>c>a

查看答案和解析>>

科目: 来源:2012-2013学年贵州省黔西南州册亨二中高三(上)9月月考数学试卷(文科)(解析版) 题型:选择题

若函数f(x)=,若f(a)>f(-a),则实数a的取值范围是( )
A.(-1,0)∪(0,1)
B.(-∞,-1)∪(1,+∞)
C.(-1,0)∪(1,+∞)
D.(-∞,-1)∪(0,1)

查看答案和解析>>

科目: 来源:2012-2013学年贵州省黔西南州册亨二中高三(上)9月月考数学试卷(文科)(解析版) 题型:填空题

函数y=-(x-3)|x|的递增区间是    

查看答案和解析>>

科目: 来源:2012-2013学年贵州省黔西南州册亨二中高三(上)9月月考数学试卷(文科)(解析版) 题型:填空题

若5a=2,b=log53,则53a-2b=   

查看答案和解析>>

科目: 来源:2012-2013学年贵州省黔西南州册亨二中高三(上)9月月考数学试卷(文科)(解析版) 题型:填空题

若实数a满足a>|t-1|-|t-2|(t∈R)恒成立,则函数f(x)=loga(x2-5x+6)的单调减区间为   

查看答案和解析>>

科目: 来源:2012-2013学年贵州省黔西南州册亨二中高三(上)9月月考数学试卷(文科)(解析版) 题型:填空题

已知2a=5b=,则+=   

查看答案和解析>>

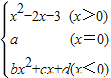
科目: 来源:2012-2013学年贵州省黔西南州册亨二中高三(上)9月月考数学试卷(文科)(解析版) 题型:解答题

已知y=f(x)是定义在R上的奇函数,f(x)=
(1)分别求a,b,c,d的值;  
(2)画出f(x)的简图并写出其单调区间.

查看答案和解析>>

同步练习册答案