相关习题
 0  80131  80139  80145  80149  80155  80157  80161  80167  80169  80175  80181  80185  80187  80191  80197  80199  80205  80209  80211  80215  80217  80221  80223  80225  80226  80227  80229  80230  80231  80233  80235  80239  80241  80245  80247  80251  80257  80259  80265  80269  80271  80275  80281  80287  80289  80295  80299  80301  80307  80311  80317  80325  266669 

科目: 来源:2005-2006学年浙江省杭州十四中高三(上)10月月考数学试卷(文理合卷)(解析版) 题型:选择题

等差数列{an}中,若a4+a6+a8+a10+a12=120,则的值为( )
A.10
B.11
C.12
D.14

查看答案和解析>>

科目: 来源:2005-2006学年浙江省杭州十四中高三(上)10月月考数学试卷(文理合卷)(解析版) 题型:选择题

在[]上,函数f(x)=x2+px+q与函数在同一点处取得相同的最小值,那么函数f(x)在[]上的最大值是( )
A.
B.4
C.8
D.

查看答案和解析>>

科目: 来源:2005-2006学年浙江省杭州十四中高三(上)10月月考数学试卷(文理合卷)(解析版) 题型:选择题

甲、乙两个工厂2004年元月份的产值相等,甲厂的产值逐月增加且每月增加的产值相同,乙厂产值也逐月增加,且每月增加的百分率相同,已知2005年元月份两厂产值又相同,则2004年7月份产值高的工厂是( )
A.甲
B.乙
C.两厂一样
D.无法确定

查看答案和解析>>

科目: 来源:2005-2006学年浙江省杭州十四中高三(上)10月月考数学试卷(文理合卷)(解析版) 题型:选择题

已知数列{an}是由正整数组成的数列,a1=4且满足lgan=lgan-1+lgb,其中b>3,n>1,且n∈N+,则等于( )
A.-1
B.1
C.
D.

查看答案和解析>>

科目: 来源:2005-2006学年浙江省杭州十四中高三(上)10月月考数学试卷(文理合卷)(解析版) 题型:选择题

(文科做)已知{an}的前n项和Sn=n2-n+1,则|a1|+|a2|+…+|a10|等于( )
A.91
B.65
C.61
D.56

查看答案和解析>>

科目: 来源:2005-2006学年浙江省杭州十四中高三(上)10月月考数学试卷(文理合卷)(解析版) 题型:选择题

函数f(x)=x(x-1)(x-2)…(x-50)在点x=0处导数为( )
A.0
B.502
C.100
D.50!

查看答案和解析>>

科目: 来源:2005-2006学年浙江省杭州十四中高三(上)10月月考数学试卷(文理合卷)(解析版) 题型:选择题

已知函数f(x)=2x-1,g(x)=1-x2,构造函数F(x),定义如下:当|f(x)|≥g(x)时,F(x)=|f(x)|,当|f(x)|<g(x)时,F(x)=-g(x),那么F(x)( )
A.有最小值0,无最大值
B.有最小值-1,无最大值
C.有最大值1,无最小值
D.无最小值,也无最大值

查看答案和解析>>

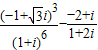
科目: 来源:2005-2006学年浙江省杭州十四中高三(上)10月月考数学试卷(文理合卷)(解析版) 题型:填空题

=   

查看答案和解析>>

科目: 来源:2005-2006学年浙江省杭州十四中高三(上)10月月考数学试卷(文理合卷)(解析版) 题型:填空题

已知函数f(x)=x2+2(a-1)x+2在[4,+∞)上是增函数,则实数a的取值范围是   

查看答案和解析>>

科目: 来源:2005-2006学年浙江省杭州十四中高三(上)10月月考数学试卷(文理合卷)(解析版) 题型:填空题

已知||=2,||+3,若()•()=-53,则向量的夹角是   

查看答案和解析>>

同步练习册答案