相关习题
 0  80174  80182  80188  80192  80198  80200  80204  80210  80212  80218  80224  80228  80230  80234  80240  80242  80248  80252  80254  80258  80260  80264  80266  80268  80269  80270  80272  80273  80274  80276  80278  80282  80284  80288  80290  80294  80300  80302  80308  80312  80314  80318  80324  80330  80332  80338  80342  80344  80350  80354  80360  80368  266669 

科目: 来源:2010-2011学年广东省中山实验高中高三(上)第三次月考数学试卷(解析版) 题型:解答题

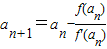
已知函数f(x)=x2+x-1,α,β是方程f(x)=0的两个根(α>β),f′(x)是f(x)的导数,设a1=1,(n=1,2,…).
(1)求α,β的值;
(2)证明:对任意的正整数n,都有an>α;
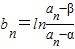
(3)记(n=1,2,…),求数列{bn}的前n项和Sn

查看答案和解析>>

科目: 来源:2008-2009学年浙江省宁波二中高三(上)期始数学试卷(理科)(解析版) 题型:选择题

若复数z1=3+i,z2=1-i,则z1•z2在复数z1•z2平面内对应的点位于( )
A.第一象限
B.第二象限
C.第三象限
D.第四象限

查看答案和解析>>

科目: 来源:2008-2009学年浙江省宁波二中高三(上)期始数学试卷(理科)(解析版) 题型:选择题

在等差数列{an}中,若a3=2,则该数列的前5项的和为( )
A.32
B.16
C.10
D.20

查看答案和解析>>

科目: 来源:2008-2009学年浙江省宁波二中高三(上)期始数学试卷(理科)(解析版) 题型:选择题

矩阵可逆的一个充分不必要条件是( )
A.ad-bc≠0
B.ab-cd≠0
C.
D.

查看答案和解析>>

科目: 来源:2008-2009学年浙江省宁波二中高三(上)期始数学试卷(理科)(解析版) 题型:选择题

如图,一个空间几何体的正视图、侧视图、俯视图如图所示,那么这个几何体的体积为( )

A.3
B.6
C.
D.

查看答案和解析>>

科目: 来源:2008-2009学年浙江省宁波二中高三(上)期始数学试卷(理科)(解析版) 题型:选择题

从甲、乙等10个同学中挑选4名参加某项公益活动,要求甲、乙中至少有1人参加,则不同的挑选方法共有( )
A.70种
B.112种
C.140种
D.168种

查看答案和解析>>

科目: 来源:2008-2009学年浙江省宁波二中高三(上)期始数学试卷(理科)(解析版) 题型:选择题

设函数,若f(x1)>f(x2),则下列不等式必定成立的是( )
A.x1+x2>0
B.x12>x22
C.x1>x2
D.x1<x2

查看答案和解析>>

科目: 来源:2008-2009学年浙江省宁波二中高三(上)期始数学试卷(理科)(解析版) 题型:选择题

给出计算 的值的一个程序框图如图,其中判断框内应填入的条件是( )
A.i>10
B.i<10
C.i>20
D.i<20

查看答案和解析>>

科目: 来源:2008-2009学年浙江省宁波二中高三(上)期始数学试卷(理科)(解析版) 题型:选择题

设直线l?平面α,过平面α外一点A与l,α都成30°角的直线有且只有( )
A.1条
B.2条
C.3条
D.4条

查看答案和解析>>

科目: 来源:2008-2009学年浙江省宁波二中高三(上)期始数学试卷(理科)(解析版) 题型:选择题

函数y=x2-2x在区间[a,b]上的值域是[-1,3],则点(a,b)的轨迹是图中的( )

A.线段AB和线段AD
B.线段AB和线段CD
C.线段AD和线段BC
D.线段AC和线段BD

查看答案和解析>>

同步练习册答案