相关习题
0 80177 80185 80191 80195 80201 80203 80207 80213 80215 80221 80227 80231 80233 80237 80243 80245 80251 80255 80257 80261 80263 80267 80269 80271 80272 80273 80275 80276 80277 80279 80281 80285 80287 80291 80293 80297 80303 80305 80311 80315 80317 80321 80327 80333 80335 80341 80345 80347 80353 80357 80363 80371 266669
科目:
来源:2007-2008学年广东省惠州一中高三(上)数学寒假作业4(理科)(解析版)
题型:填空题
函数

的部分图象如图所示,则f(x)=
.

查看答案和解析>>
科目:
来源:2007-2008学年广东省惠州一中高三(上)数学寒假作业4(理科)(解析版)
题型:填空题
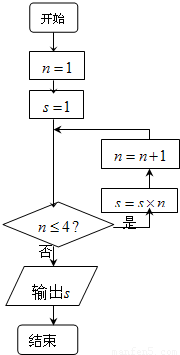
程序框图(如图)的运算结果为
.

查看答案和解析>>
科目:
来源:2007-2008学年广东省惠州一中高三(上)数学寒假作业4(理科)(解析版)
题型:填空题
从以下两个小题中选做一题(只能做其中一个,做两个按得分最低的记分).
(1)自极点O向直线l作垂线,垂足是H(

),则直线l的极坐标方程为
.
(2)如图,⊙O和⊙O'都经过A、B两点,AC是⊙O'的切线,交⊙O于点C,AD是⊙O的切线,交⊙O'于点D,若BC=2,BD=6,则AB的长为
.

查看答案和解析>>
科目:
来源:2007-2008学年广东省惠州一中高三(上)数学寒假作业4(理科)(解析版)
题型:填空题
已知实数a,b满足等式

,下列五个关系式:
①0<b<a,②a<b<0,③0<a<b,④b<a<0,⑤a=b
其中不可能成立的关系式有
.
查看答案和解析>>
科目:
来源:2007-2008学年广东省惠州一中高三(上)数学寒假作业4(理科)(解析版)
题型:解答题
已知函数

,
(1)求函数f(x)的最小正周期;
(2)求函数f(x)的单调减区间;
(3)画出函数

的图象,由图象研究并写出g(x)的对称轴和对称中心.

查看答案和解析>>
科目:
来源:2007-2008学年广东省惠州一中高三(上)数学寒假作业4(理科)(解析版)
题型:解答题
一个盒子里装有标号为1,2,3,…,n的n(n≥3,且n∈N*)张标签,今随机地从盒子里无放回地抽取两张标签,记ξ为这两张标签上的数字之和,若ξ=3的概率为

.
(1)求n的值;(2)求ξ的分布列;(3)求ξ的期望.
查看答案和解析>>
科目:
来源:2007-2008学年广东省惠州一中高三(上)数学寒假作业4(理科)(解析版)
题型:解答题
如图,在长方体ABCD-A
1B
1C
1D
1中,AD=AA
1=1,AB=2,点E在棱AB上移动.
(1)证明:D
1E⊥A
1D;
(2)当E为AB的中点时,求点E到面ACD
1的距离;
(3)AE等于何值时,二面角D
1-EC-D的大小为

.

查看答案和解析>>
科目:
来源:2007-2008学年广东省惠州一中高三(上)数学寒假作业4(理科)(解析版)
题型:解答题
已知函数f(x)=x2,g(x)=x-1.
(1)若?x∈R使f(x)<b•g(x),求实数b的取值范围;
(2)设F(x)=f(x)-mg(x)+1-m-m2,且|F(x)|在[0,1]上单调递增,求实数m的取值范围.
查看答案和解析>>
科目:
来源:2007-2008学年广东省惠州一中高三(上)数学寒假作业4(理科)(解析版)
题型:解答题
在平面直角坐标系内有两个定点F
1,F
2和动点P,F
1,F
2坐标分别为F
1(-1,0)、F
2(1,0),动点P满足

,动点P的轨迹为曲线C,曲线C关于直线y=x的对称曲线为曲线C″,直线y=x+m-3与曲线C″交于A、B两点,O是坐标原点,△ABO的面积为

,
(1)求曲线C的方程;
(2)求m的值.
查看答案和解析>>
科目:
来源:2007-2008学年广东省惠州一中高三(上)数学寒假作业4(理科)(解析版)
题型:解答题
如图,将圆分成n个区域,用3种不同颜色给每一个区域染色,要求相邻区域颜色互异,把不同的染色方法种数记为a
n.求
(Ⅰ)a
1,a
2,a
3,a
4;
(Ⅱ)a
n与a
n+1(n≥2)的关系式;
(Ⅲ)数列{a
n}的通项公式a
n,并证明a
n≥2n(n∈N
*).

查看答案和解析>>