相关习题
 0  80181  80189  80195  80199  80205  80207  80211  80217  80219  80225  80231  80235  80237  80241  80247  80249  80255  80259  80261  80265  80267  80271  80273  80275  80276  80277  80279  80280  80281  80283  80285  80289  80291  80295  80297  80301  80307  80309  80315  80319  80321  80325  80331  80337  80339  80345  80349  80351  80357  80361  80367  80375  266669 

科目: 来源:2009-2010学年湖南省长沙市长郡中学高三(上)第二次月考数学试卷(理科)(解析版) 题型:填空题

在数列{an}中,若a1=1,a2=(n∈N*),则该数列的通项an=   

查看答案和解析>>

科目: 来源:2009-2010学年湖南省长沙市长郡中学高三(上)第二次月考数学试卷(理科)(解析版) 题型:填空题

设x,y满足x2+y2=2,则x+2y的最小值是    

查看答案和解析>>

科目: 来源:2009-2010学年湖南省长沙市长郡中学高三(上)第二次月考数学试卷(理科)(解析版) 题型:填空题

函数y=Asin(ωx+φ)(A,ω,φ为常数,A>0,ω>0)在闭区间[-π,0]的图象如图所示,则ω=   

查看答案和解析>>

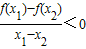
科目: 来源:2009-2010学年湖南省长沙市长郡中学高三(上)第二次月考数学试卷(理科)(解析版) 题型:填空题

已知函数,满足对任意x1≠x2,都有成立,则a的取值范围是   

查看答案和解析>>

科目: 来源:2009-2010学年湖南省长沙市长郡中学高三(上)第二次月考数学试卷(理科)(解析版) 题型:填空题

直线为参数)上与点A(-2,3)的距离等于的点的坐标是    

查看答案和解析>>

科目: 来源:2009-2010学年湖南省长沙市长郡中学高三(上)第二次月考数学试卷(理科)(解析版) 题型:填空题

满足条件AB=2,AC=BC的三角形ABC的面积的最大值是   

查看答案和解析>>

科目: 来源:2009-2010学年湖南省长沙市长郡中学高三(上)第二次月考数学试卷(理科)(解析版) 题型:填空题

已知数列{an}满足:a1=m(m为正整数),an+1=若a6=1,则m所有可能的取值为   

查看答案和解析>>

科目: 来源:2009-2010学年湖南省长沙市长郡中学高三(上)第二次月考数学试卷(理科)(解析版) 题型:解答题

已知向量互相垂直,其中
(1)求sinθ和cosθ的值;
(2)若,求cosφ的值.

查看答案和解析>>

科目: 来源:2009-2010学年湖南省长沙市长郡中学高三(上)第二次月考数学试卷(理科)(解析版) 题型:解答题

ABC中,a、b、c分别是角A、B、C的对边,<C<,且
(1)判断△ABC的形状
(2)若,求的取值范围、

查看答案和解析>>

科目: 来源:2009-2010学年湖南省长沙市长郡中学高三(上)第二次月考数学试卷(理科)(解析版) 题型:解答题

某跨国饮料公司对全世界所有人均GDP(即人均纯收入)在0.5-8千美元的地区销售该公司A饮料的情况的调查中发现:人均GDP处在中等的地区对该饮料的销售量最多,然后向两边递减.
(1)下列几个模拟函数中(x表示人均GDP,单位:千美元,y表示年人均A饮料的销量,单位;升),用哪个来描述人均A饮料销量与地区的人均GDP的关系更合适?说明理由.
(A)y=ax2+bx(B)y=logax+b(C)y=ax+b(D)y=xa+b
若人均GDP为1千美元时,年人均A饮料的销量为2升;若人均GDP为4千美元时,年人均A饮料的销量为5升,把你所选的模拟函数求出来.
(2)因为A饮料在B国被检测出杀虫剂的含量超标,受此事件的影响,A饮料在人均GDP低于3千美元和高于6千美元的地区销量下降5%,其它地区的销量下降10%,根据(2)所求出的模拟函数,求在各个地区中,年人均A饮料的销量最多为多少?

查看答案和解析>>

同步练习册答案