相关习题
 0  80223  80231  80237  80241  80247  80249  80253  80259  80261  80267  80273  80277  80279  80283  80289  80291  80297  80301  80303  80307  80309  80313  80315  80317  80318  80319  80321  80322  80323  80325  80327  80331  80333  80337  80339  80343  80349  80351  80357  80361  80363  80367  80373  80379  80381  80387  80391  80393  80399  80403  80409  80417  266669 

科目: 来源:2009-2010学年重庆一中高一(下)4月月考数学试卷(解析版) 题型:解答题

已知α,β为锐角,
求值:
(Ⅰ)tanα
(Ⅱ)cosβ

查看答案和解析>>

科目: 来源:2009-2010学年重庆一中高一(下)4月月考数学试卷(解析版) 题型:解答题

已知函数f(x)=Asin(ωx+φ),x∈R(其中A>0,ω>0,0<φ<)的周期为π,且图象上一个最低点为
(Ⅰ)求f(x)的解析式;
(Ⅱ)当,求f(x)的最值.

查看答案和解析>>

科目: 来源:2009-2010学年重庆一中高一(下)4月月考数学试卷(解析版) 题型:解答题

设tan2θ=2,且θ∈(,π),求:
(Ⅰ)tanθ的值;
(Ⅱ)的值.

查看答案和解析>>

科目: 来源:2009-2010学年重庆一中高一(下)4月月考数学试卷(解析版) 题型:解答题

设函数
的最小正周期为π(a≠0,ω>0)
(1)求ω的值;
(2)若f(x)的定义域为,值域为[-1,5],求a,b的值及单调区间.

查看答案和解析>>

科目: 来源:2009-2010学年重庆一中高一(下)4月月考数学试卷(解析版) 题型:解答题

函数是偶函数.
(1)求θ;
(2)将函数y=f(x)的图象先纵坐标不变,横坐标缩短为原来的倍,再向左平移个单位,然后向上平移1个单位得到y=g(x)的图象,若关于x的方程有且只有两个不同的根,求m的范围.

查看答案和解析>>

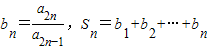
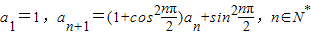
科目: 来源:2009-2010学年重庆一中高一(下)4月月考数学试卷(解析版) 题型:解答题

已知数列an满足
(1)求a2,a3,a4;并求证:a2m+1+2=2(a2m-1+2),(m∈N*);
(2)设,求证:

查看答案和解析>>

科目: 来源:2009-2010学年重庆一中高一(下)4月月考数学试卷(解析版) 题型:解答题

已知函数f(x)=2x-π,g(x)=cosx.若且f(xn+1)=g(xn).求证:

查看答案和解析>>

科目: 来源:2011-2012学年山西大学附中高一(下)3月月考数学试卷(Ⅱ)(解析版) 题型:选择题

已知,则角α的终边所在的象限是( )
A.第一象限
B.第二象限
C.第三象限
D.第四象限

查看答案和解析>>

科目: 来源:2011-2012学年山西大学附中高一(下)3月月考数学试卷(Ⅱ)(解析版) 题型:选择题

已知角a的终边过点P(-1,2),cosa的值为( )
A.-
B.-
C.
D.

查看答案和解析>>

科目: 来源:2011-2012学年山西大学附中高一(下)3月月考数学试卷(Ⅱ)(解析版) 题型:选择题

已知tanα=2,那么的值为( )
A.-2
B.2
C.-
D.

查看答案和解析>>

同步练习册答案