相关习题
0 80231 80239 80245 80249 80255 80257 80261 80267 80269 80275 80281 80285 80287 80291 80297 80299 80305 80309 80311 80315 80317 80321 80323 80325 80326 80327 80329 80330 80331 80333 80335 80339 80341 80345 80347 80351 80357 80359 80365 80369 80371 80375 80381 80387 80389 80395 80399 80401 80407 80411 80417 80425 266669
科目:
来源:2010-2011学年浙江省杭州二中高三(上)10月月考数学试卷(理科)(解析版)
题型:填空题
设f(x)=cos(x+φ)(0<φ<π),若f(x)+f'(x)是奇函数,则φ= .
查看答案和解析>>
科目:
来源:2010-2011学年浙江省杭州二中高三(上)10月月考数学试卷(理科)(解析版)
题型:填空题
已知函数f(x)的图象在[a,b]上连续不断,定义:f1(x)=min{f(t)|a≤t≤x}(x∈[a,b]),f2(x)=max{f(t)|a≤t≤x}(x∈[a,b]),其中,min{f(x)|x∈D}表示函数f(x)在D上的最小值,max{f(x)|x∈D}表示函数f(x)在D上的最大值,若存在最小正整数k,使得f2(x)-f1(x)≤k(x-a)对任意的x∈[a,b]成立,则称函数f(x)为[a,b]上的“k阶收缩函数”.已知函数f(x)=x2,(x∈[-1,4])为[-1,4]上的“k阶收缩函数”,则k的取值范围是 .
查看答案和解析>>
科目:
来源:2010-2011学年浙江省杭州二中高三(上)10月月考数学试卷(理科)(解析版)
题型:解答题
在△ABC中,角A,B,C所对的边分别为a,b,c,且1+

(1)求角A.
(2)若

,

,试求|

|的最小值.
查看答案和解析>>
科目:
来源:2010-2011学年浙江省杭州二中高三(上)10月月考数学试卷(理科)(解析版)
题型:解答题
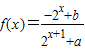
已知定义域为R的函数

是奇函数.
(Ⅰ)求a,b的值;
(Ⅱ)若对任意的t∈R,不等式f(t
2-2t)+f(2t
2-k)<0恒成立,求k的取值范围.
查看答案和解析>>
科目:
来源:2010-2011学年浙江省杭州二中高三(上)10月月考数学试卷(理科)(解析版)
题型:解答题
某企业投入81万元经销某产品,经销时间共60个月,市场调研表明,该企业在经销这个产品期间第x个月的利润

(单位:万元),为了获得更多的利润,企业将每月获得的利润投入到次月的经营中,记第x个月的当月利润率

,例如:

.
(1)求g(10);
(2)求第x个月的当月利润率g(x);
(3)该企业经销此产品期间,哪个月的当月利润率最大,并求该月的当月利润率.
查看答案和解析>>
科目:
来源:2010-2011学年浙江省杭州二中高三(上)10月月考数学试卷(理科)(解析版)
题型:解答题
已知

,g(x)=e
x-x
2+2ax-1,(x∈R,a为实数),y=f(x)的图象与y轴交于点

,且在该点处切线的斜率为-2.
(I)若点

,点P是函数y=f(x)图象上一点,Q(x
,y
)是PA的中点,当

,

时,求x
的值;
(II)当a>1+ln2时,试问:是否存在曲线y=f(x)与y=g(x)的公切线?并证明你的结论.
查看答案和解析>>
科目:
来源:2010-2011学年浙江省杭州二中高三(上)10月月考数学试卷(理科)(解析版)
题型:解答题
已知函数f(x)=ln(x-1)-k(x-1)+1.
( I)求函数f(x)的单调区间;
( II)若f(x)≤0恒成立,试确定实数k的取值范围;
( III)证明:

.
查看答案和解析>>
科目:
来源:2009-2010学年陕西省西安铁一中高一(上)第二次月考数学试卷(解析版)
题型:选择题
四棱柱的顶点数、棱数、面数分别是( )
A.8,12,6
B.8,10,6
C.6,8,12
D.8,6,12
查看答案和解析>>
科目:
来源:2009-2010学年陕西省西安铁一中高一(上)第二次月考数学试卷(解析版)
题型:选择题
下图所示为平面图形水平放置的直观图,则此平面图形的原图形可能是下图中的( )

A.

B.

C.

D.

查看答案和解析>>
科目:
来源:2009-2010学年陕西省西安铁一中高一(上)第二次月考数学试卷(解析版)
题型:选择题
若a和b是异面直线,b和c是异面直线,则a和c的位置关系是( )
A.异面或平行
B.异面或相交
C.异面
D.相交、平行或异面
查看答案和解析>>