相关习题
 0  80237  80245  80251  80255  80261  80263  80267  80273  80275  80281  80287  80291  80293  80297  80303  80305  80311  80315  80317  80321  80323  80327  80329  80331  80332  80333  80335  80336  80337  80339  80341  80345  80347  80351  80353  80357  80363  80365  80371  80375  80377  80381  80387  80393  80395  80401  80405  80407  80413  80417  80423  80431  266669 

科目: 来源:2009-2010学年湖北省宜昌一中高三(上)9月月考数学试卷(理科)(解析版) 题型:解答题

已知函数f(x)定义域是{x|x},且f(x)+f(2-x)=0,f(x+1)=-,当时:f(x)=3x
(1)判断f(x)的奇偶性,并说明理由;
(2)求f(x)在(0,)上的表达式;
(3)是否存在正整,使得x∈(2k+,2k+1)时,log3f(x)>x2-kx-2k有解,并说明理由.

查看答案和解析>>

科目: 来源:2009-2010学年湖北省宜昌一中高三(上)9月月考数学试卷(理科)(解析版) 题型:解答题

已知定义域为[0,1]的函数f(x)同时满足:
①对于任意的x∈[0,1],总有f(x)≥0;
②f(1)=1;
③若x1≥0,x2≥0,x1+x2≤1,则有f(x1+x2)≥f(x1)+f(x2).
(1)求f(0)的值;
(2)求f(x)的最大值;
(3)若对于任意x∈[0,1],总有4f2(x)-4(2-a)f(x)+5-4a≥0成立,求实数a的取值范围.

查看答案和解析>>

科目: 来源:2009-2010学年湖北省宜昌一中高三(上)9月月考数学试卷(理科)(解析版) 题型:解答题

已知二次函数f(x)=ax2+bx+c(a,b,c∈R),当x∈(-∞,-2)∪(0,+∞)时,f(x)>0,当x∈(-2,0)时,f(x)<0,且对任意x∈R,不等式f(x)≥(a-1)x-1恒成立.
(I)求函数f(x)的解析式;
(II)设函数F(x)=tf(x)-x-3,其中t≥0,求F(x)在时的最大值H(t);
(III)在(II)的条件下,若关于的函数y=log2[p-H(t)]的图象与直线y=0无公共点,求实数的取值范围.

查看答案和解析>>

科目: 来源:2013年高考数学仿真模拟试卷12(解析版) 题型:选择题

tan600°的值为( )
A.
B.
C.
D.

查看答案和解析>>

科目: 来源:2013年高考数学仿真模拟试卷12(解析版) 题型:选择题

如果复数(其中i为虚数单位,b为实数)的实部和虚部互为相反数,那么b等于( )
A.
B.
C.-
D.2

查看答案和解析>>

科目: 来源:2013年高考数学仿真模拟试卷12(解析版) 题型:选择题

在△ABC中,“A>B”是“cosA<cosB”的( )
A.充分不必要条件
B.必要不充分条件
C.充要条件
D.既不充分也不必要条件

查看答案和解析>>

科目: 来源:2013年高考数学仿真模拟试卷12(解析版) 题型:选择题

已知全集U={1,2,3,4,5},集合A={x∈Z||x-3|<2},则集合CuA等于( )
A.{1,2,3,4}
B.{2,3,4}
C.{1,5}
D.{5}Z

查看答案和解析>>

科目: 来源:2013年高考数学仿真模拟试卷12(解析版) 题型:选择题

已知平面向量,则=( )
A.-10
B.10
C.-20
D.20

查看答案和解析>>

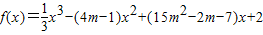
科目: 来源:2013年高考数学仿真模拟试卷12(解析版) 题型:选择题

已知函数在(-∞,+∞)上是增函数,则m的取值范围是( )
A.m<-4或m>-2
B.-4<m<-2
C.2<m<4
D.m<2或m>4

查看答案和解析>>

科目: 来源:2013年高考数学仿真模拟试卷12(解析版) 题型:选择题

-与向量( )
A.一定平行但不相等
B.一定垂直
C.一定平行且相等
D.无法判定

查看答案和解析>>

同步练习册答案