相关习题
 0  80252  80260  80266  80270  80276  80278  80282  80288  80290  80296  80302  80306  80308  80312  80318  80320  80326  80330  80332  80336  80338  80342  80344  80346  80347  80348  80350  80351  80352  80354  80356  80360  80362  80366  80368  80372  80378  80380  80386  80390  80392  80396  80402  80408  80410  80416  80420  80422  80428  80432  80438  80446  266669 

科目: 来源:2012-2013学年贵州省黔西南州晴隆二中高三(上)9月月考数学试卷(文科)(解析版) 题型:选择题

设f(x)=x2-4x+m,在区间D=[1,3]上,满足:对于任意的a∈D,存在实数x∈D,使得f(x)≤f(a),g(x)≤g(a)且g(x)=f(x);那么在D=[1,3]上f(x)的最大值是( )
A.5
B.
C.
D.4

查看答案和解析>>

科目: 来源:2012-2013学年贵州省黔西南州晴隆二中高三(上)9月月考数学试卷(文科)(解析版) 题型:选择题

已知函数f(x)=(x,a,b∈R+,A=f(),B=f(),C=f(),则A、B、C的大小关系为( )
A.A≤B≤C
B.A≤C≤B
C.B≤C≤A
D.C≤B≤A

查看答案和解析>>

科目: 来源:2012-2013学年贵州省黔西南州晴隆二中高三(上)9月月考数学试卷(文科)(解析版) 题型:选择题

用min{a,b}表示a,b两数中的最小值.若函数f(x)=min{|x|,|x+t|}的图象关于直线x=对称,则t的值为( )
A.-2
B.2
C.-1
D.1

查看答案和解析>>

科目: 来源:2012-2013学年贵州省黔西南州晴隆二中高三(上)9月月考数学试卷(文科)(解析版) 题型:选择题

,b=log43,c=5,则( )
A.c<a<b
B.b<c<a
C.b<a<c
D.c<b<a

查看答案和解析>>

科目: 来源:2012-2013学年贵州省黔西南州晴隆二中高三(上)9月月考数学试卷(文科)(解析版) 题型:选择题

已知奇函数f(x)与偶函数g(x)满足f(x)+g(x)=ax-a-x+2,且g(b)=a,则f(2)的值为( )
A.a2
B.2
C.
D.

查看答案和解析>>

科目: 来源:2012-2013学年贵州省黔西南州晴隆二中高三(上)9月月考数学试卷(文科)(解析版) 题型:选择题

设a=log32,b=ln3,c=log23,则( )
A.c>a>b
B.b>c>a
C.a>b>c
D.c>b>a

查看答案和解析>>

科目: 来源:2012-2013学年贵州省黔西南州晴隆二中高三(上)9月月考数学试卷(文科)(解析版) 题型:选择题

已知函数F(x)=|lgx|,若0<a<b,且f(a)=f(b),则a+2b的取值范围是( )
A.
B.
C.(3,+∞)
D.[3,+∞)

查看答案和解析>>

科目: 来源:2012-2013学年贵州省黔西南州晴隆二中高三(上)9月月考数学试卷(文科)(解析版) 题型:选择题

若函数y=f(x)是函数y=ax(a>0,且a≠1)的反函数,其图象经过点(,a),则f(x)=( )
A.log2
B.log
C.
D.x2

查看答案和解析>>

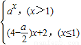
科目: 来源:2012-2013学年贵州省黔西南州晴隆二中高三(上)9月月考数学试卷(文科)(解析版) 题型:选择题

f(x)=是R上的单调递增函数,则实数a的取值范围为( )
A.(1,+∞)
B.[4,8)
C.(4,8)
D.(1,8)

查看答案和解析>>

科目: 来源:2012-2013学年贵州省黔西南州晴隆二中高三(上)9月月考数学试卷(文科)(解析版) 题型:填空题

对于函数y=f(x),存在区间[a,b],当x∈[a,b]时,y∈[ka,kb](k>0),则称y=f(x)为k倍值函数.已知f(x)=ex+x是k倍值函数,则实数k的取值范围是   

查看答案和解析>>

同步练习册答案