相关习题
0 80253 80261 80267 80271 80277 80279 80283 80289 80291 80297 80303 80307 80309 80313 80319 80321 80327 80331 80333 80337 80339 80343 80345 80347 80348 80349 80351 80352 80353 80355 80357 80361 80363 80367 80369 80373 80379 80381 80387 80391 80393 80397 80403 80409 80411 80417 80421 80423 80429 80433 80439 80447 266669
科目:
来源:2011-2012学年四川省内江市威远中学高一(下)数学测试卷(解斜三角形和数列部分)(解析版)
题型:填空题
在△ABC中,角A,B,C的对边分别是a,b,c,若a,b,c成等差数列,B=30°,△ABC的面积为

,则b=
.
查看答案和解析>>
科目:
来源:2011-2012学年四川省内江市威远中学高一(下)数学测试卷(解斜三角形和数列部分)(解析版)
题型:解答题
已知数列{an}满足:a1=1,且an-an-1=2n.
(Ⅰ)求a2,a3,a4;
(Ⅱ)求数列{an}的通项an.
查看答案和解析>>
科目:
来源:2011-2012学年四川省内江市威远中学高一(下)数学测试卷(解斜三角形和数列部分)(解析版)
题型:解答题
设等差数列{an}的前n项和为Sn,已知a3=12,S15>0,S16<0,
(1)求公差d的取值范围;
(2)指出S1,S2,…,Sn中哪一个最大?说明理由.
查看答案和解析>>
科目:
来源:2011-2012学年四川省内江市威远中学高一(下)数学测试卷(解斜三角形和数列部分)(解析版)
题型:解答题
甲、乙物体分别从相距70米的两处同时相向运动.甲第1分钟走2米,以后每分钟比前1分钟多走1米,乙每分钟走5米.
(1)甲、乙开始运动后几分钟相遇?
(2)如果甲、乙到达对方起点后立即折返,甲继续每分钟比前1分钟多走1米,乙继续每分钟走5米,那么开始运动几分钟后第二相遇?
查看答案和解析>>
科目:
来源:2011-2012学年四川省内江市威远中学高一(下)数学测试卷(解斜三角形和数列部分)(解析版)
题型:解答题
在△ABC中,角A、B、C的对边分别为a,b,c,已知向量

,

,且满足

,
(1)求角A的大小;
(2)若

,试判断△ABC的形状.
查看答案和解析>>
科目:
来源:2011-2012学年四川省内江市威远中学高一(下)数学测试卷(解斜三角形和数列部分)(解析版)
题型:解答题
在海岸A处,发现北偏东45°方向,距A处(

-1)海里的B处有一艘走私船,在A处北偏西75°方向,距A处2海里的C处的缉私船奉命以10

海里/小时的速度追截走私船,此时走私船正以10海里/小时的速度从B处向北偏东30°的方向逃窜,问缉私船沿什么方向能最快追上走私船,并求出所需要的时间.
查看答案和解析>>
科目:
来源:2011-2012学年四川省内江市威远中学高一(下)数学测试卷(解斜三角形和数列部分)(解析版)
题型:解答题
已知数列{a
n}的各项为正数,其前n项和

,设b
n=10-a
n(n∈N)
(1)求证:数列{a
n}是等差数列,并求{a
n}的通项公式;
(2)设数列{b
n}的前n项和为T
n,求T
n的最大值.
(3)求数列{|b
n|}(n∈N)的前n项和.
查看答案和解析>>
科目:
来源:2012-2013学年贵州省黔西南州晴隆二中高三(上)9月月考数学试卷(文科)(解析版)
题型:选择题
已知2+

的小数部分为α,则

等于( )
A.1
B.-1
C.2
D.-2
查看答案和解析>>
科目:
来源:2012-2013学年贵州省黔西南州晴隆二中高三(上)9月月考数学试卷(文科)(解析版)
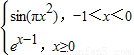
题型:选择题
函数f(x)=

若f(1)+f(a)=2,则a的所有可能值为( )
A.1
B.-

C.1,-

D.1,

查看答案和解析>>
科目:
来源:2012-2013学年贵州省黔西南州晴隆二中高三(上)9月月考数学试卷(文科)(解析版)
题型:选择题
函数y=

(x≥0)的反函数为( )
A.y=

(x∈R)
B.y=

(x≥0)
C.y=4x
2(x∈R)
D.y=4x
2(x≥0)
查看答案和解析>>