相关习题
 0  80263  80271  80277  80281  80287  80289  80293  80299  80301  80307  80313  80317  80319  80323  80329  80331  80337  80341  80343  80347  80349  80353  80355  80357  80358  80359  80361  80362  80363  80365  80367  80371  80373  80377  80379  80383  80389  80391  80397  80401  80403  80407  80413  80419  80421  80427  80431  80433  80439  80443  80449  80457  266669 

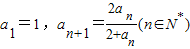
科目: 来源:2010-2011学年浙江省杭州市西湖高级中学高二(下)5月月考数学试卷(选修2-2、2-3)(解析版) 题型:解答题

在数列{an}中,
(1)计算a2,a3,a4
(2)猜想数列{an}的通项公式,并用数学归纳法证明.

查看答案和解析>>

科目: 来源:2010-2011学年浙江省杭州市西湖高级中学高二(下)5月月考数学试卷(选修2-2、2-3)(解析版) 题型:解答题

一个袋中有大小相同的标有1,2,3,4,5,6的6个小球,某人做如下游戏,每次从袋中拿一个球(拿后放回),记下标号.若拿出球的标号是3的倍数,则得1分,否则得-1分.
(1)求拿4次至少得2分的概率;
(2)求拿4次所得分数ξ的分布列和数学期望.

查看答案和解析>>

科目: 来源:2010-2011学年浙江省杭州市西湖高级中学高二(下)5月月考数学试卷(选修2-2、2-3)(解析版) 题型:解答题

若x1、x2(x1≠x2)是函数f(x)=ax3+bx2-a2x(a>0)的两个极值点.
(1)若,求函数f(x)的解析式;
(2)若,求b的最大值.

查看答案和解析>>

科目: 来源:2009-2010学年黑龙江省鸡西市密山一中高三(下)第二次月考数学试卷(必修2)(解析版) 题型:选择题

若集合A={x|x2-x<0},B={x|0<x<3},则A∩B等于( )
A.{x|0<x<1}
B.{x|0<x<3}
C.{x|1<x<3}
D.∅

查看答案和解析>>

科目: 来源:2009-2010学年黑龙江省鸡西市密山一中高三(下)第二次月考数学试卷(必修2)(解析版) 题型:选择题

在△ABC中,a=2,b=6  A=30°则 C等于( )
A.30°
B.60°
C.120°
D.90°或30°

查看答案和解析>>

科目: 来源:2009-2010学年黑龙江省鸡西市密山一中高三(下)第二次月考数学试卷(必修2)(解析版) 题型:选择题

下列命题中,不成立的是( )
A.a>b,c<d⇒a-c>b-d
B.
C.a>b⇒c-a>c-b
D.

查看答案和解析>>

科目: 来源:2009-2010学年黑龙江省鸡西市密山一中高三(下)第二次月考数学试卷(必修2)(解析版) 题型:选择题

在等比数列{an}中,a1=8,a4=64,,则公比q为( )
A.2
B.3
C.4
D.8

查看答案和解析>>

科目: 来源:2009-2010学年黑龙江省鸡西市密山一中高三(下)第二次月考数学试卷(必修2)(解析版) 题型:选择题

已知x>2,则函数的最小值为( )
A.1
B.2
C.3
D.4

查看答案和解析>>

科目: 来源:2009-2010学年黑龙江省鸡西市密山一中高三(下)第二次月考数学试卷(必修2)(解析版) 题型:选择题

设等差数列an的前n项之和为Sn,已知S10=100,则a4+a7=( )
A.12
B.20
C.40
D.100

查看答案和解析>>

科目: 来源:2009-2010学年黑龙江省鸡西市密山一中高三(下)第二次月考数学试卷(必修2)(解析版) 题型:选择题

不等式ax2+bx+2>0的解集是,则a+b的值是( )
A.10
B.-10
C.14
D.-14

查看答案和解析>>

同步练习册答案