相关习题
 0  80281  80289  80295  80299  80305  80307  80311  80317  80319  80325  80331  80335  80337  80341  80347  80349  80355  80359  80361  80365  80367  80371  80373  80375  80376  80377  80379  80380  80381  80383  80385  80389  80391  80395  80397  80401  80407  80409  80415  80419  80421  80425  80431  80437  80439  80445  80449  80451  80457  80461  80467  80475  266669 

科目: 来源:2010-2011学年甘肃省武威五中高三(上)期中数学试卷(文科)(解析版) 题型:选择题

已知数列{an}为等差数列,且a1=23,公差d=-2,则其前n项和Sn达到最大值时n为( )
A.10
B.11
C.12
D.13

查看答案和解析>>

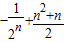
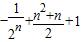
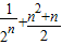
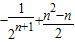
科目: 来源:2010-2011学年甘肃省武威五中高三(上)期中数学试卷(文科)(解析版) 题型:选择题

数列,…的前n项的和为( )
A.
B.
C.
D.

查看答案和解析>>

科目: 来源:2010-2011学年甘肃省武威五中高三(上)期中数学试卷(文科)(解析版) 题型:填空题

函数的定义域为   

查看答案和解析>>

科目: 来源:2010-2011学年甘肃省武威五中高三(上)期中数学试卷(文科)(解析版) 题型:填空题

若函数f(x)=x2+(a+2)x+b,x∈[a,b]的图象关于直线x=1对称,则f(x)的最大值为   

查看答案和解析>>

科目: 来源:2010-2011学年甘肃省武威五中高三(上)期中数学试卷(文科)(解析版) 题型:填空题

已知等差数列{an}的公差d≠0,且a1,a3,a9成等比数列,则的值是    

查看答案和解析>>

科目: 来源:2010-2011学年甘肃省武威五中高三(上)期中数学试卷(文科)(解析版) 题型:填空题

已知在等比数列{an}中,各项均为正数,且a1=1,a1+a2+a3=7,则数列{an}的通项公式是an=   

查看答案和解析>>

科目: 来源:2010-2011学年甘肃省武威五中高三(上)期中数学试卷(文科)(解析版) 题型:解答题

已知p:方程x2+mx+1=0有两个不等的负实根;q:对任意实数x不等式4x2+4(m-2)x+1>0恒成立,若p或q为真,p且q为假,求实数m的取值范围..

查看答案和解析>>

科目: 来源:2010-2011学年甘肃省武威五中高三(上)期中数学试卷(文科)(解析版) 题型:解答题

已知y=f(x)是二次函数,且f(0)=8及f(x+1)-f(x)=-2x+1
(1)求f(x)的解析式;
(2)求函数y=log3f(x)的单调递减区间及值域.

查看答案和解析>>

科目: 来源:2010-2011学年甘肃省武威五中高三(上)期中数学试卷(文科)(解析版) 题型:解答题

等差数列{an}中,已知,试求n的值.

查看答案和解析>>

科目: 来源:2010-2011学年甘肃省武威五中高三(上)期中数学试卷(文科)(解析版) 题型:解答题

数列{an}中,a1=2,an+1-an=3n∈N*,求数列{an}的通项公式an

查看答案和解析>>

同步练习册答案