相关习题
 0  80305  80313  80319  80323  80329  80331  80335  80341  80343  80349  80355  80359  80361  80365  80371  80373  80379  80383  80385  80389  80391  80395  80397  80399  80400  80401  80403  80404  80405  80407  80409  80413  80415  80419  80421  80425  80431  80433  80439  80443  80445  80449  80455  80461  80463  80469  80473  80475  80481  80485  80491  80499  266669 

科目: 来源:2012-2013学年甘肃省天水市武山一中高三(上)12月月考数学试卷(文科)(解析版) 题型:选择题

将函数f(x)=3sin(4x+)图象上所有点的横坐标伸长到原来的2倍,再向右平移个单位长度,得到函数y=g(x)的图象,则y=g(x)图象的一条对称轴是( )
A.x=
B.x=
C.
D.

查看答案和解析>>

科目: 来源:2012-2013学年甘肃省天水市武山一中高三(上)12月月考数学试卷(文科)(解析版) 题型:选择题

等比数列{an}的各项都是正数,且a2a3,a1成等差数列,则的值是( )
A.
B.
C.
D.

查看答案和解析>>

科目: 来源:2012-2013学年甘肃省天水市武山一中高三(上)12月月考数学试卷(文科)(解析版) 题型:选择题

实数x,y满足条件,目标函数z=3x+y的最小值为5,则该目标函数z=3x+y的最大值为( )
A.10
B.12
C.14
D.15

查看答案和解析>>

科目: 来源:2012-2013学年甘肃省天水市武山一中高三(上)12月月考数学试卷(文科)(解析版) 题型:选择题

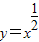
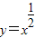
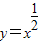
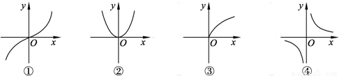
下图给出4个幂函数的图象,则图象与函数的大致对应是( )
A.①,②y=x2,③,④y=x-1
B.①y=x3,②y=x2,③,④y=x-1
C.①y=x2,②y=x3,③,④y=x-1
D.①,②,③y=x2,④y=x-1

查看答案和解析>>

科目: 来源:2012-2013学年甘肃省天水市武山一中高三(上)12月月考数学试卷(文科)(解析版) 题型:选择题

已知,点C在∠AOC=30°的边AC上,设,则等于
( )
A.
B.3
C.
D.

查看答案和解析>>

科目: 来源:2012-2013学年甘肃省天水市武山一中高三(上)12月月考数学试卷(文科)(解析版) 题型:填空题

如图,ABCD为菱形,CEFB为正方形,平面ABCD⊥平面CEFB,CE=1,∠AED=30°,则异面直线BC与AE所成角的大小为     度.

查看答案和解析>>

科目: 来源:2012-2013学年甘肃省天水市武山一中高三(上)12月月考数学试卷(文科)(解析版) 题型:填空题

已知某圆锥体的底面半径r=3,沿圆锥体的母线把侧面展开后可得到圆心角为的扇形,则该圆锥体的体积是   

查看答案和解析>>

科目: 来源:2012-2013学年甘肃省天水市武山一中高三(上)12月月考数学试卷(文科)(解析版) 题型:填空题

已知向量满足:,且,则向量的夹角是   

查看答案和解析>>

科目: 来源:2012-2013学年甘肃省天水市武山一中高三(上)12月月考数学试卷(文科)(解析版) 题型:填空题

已知f(x)是定义在R上的偶函数,且在[0,+∞)上为增函数,,则不等式的解集为    

查看答案和解析>>

科目: 来源:2012-2013学年甘肃省天水市武山一中高三(上)12月月考数学试卷(文科)(解析版) 题型:解答题

如图,在底面为平行四边形的四棱锥P-ABCD中,AB⊥AC,PA⊥面ABCD,点E是PD的中点.
(1)求证:AC⊥PB;
(2)求证:PB∥平面AEC.

查看答案和解析>>

同步练习册答案