相关习题
0 80361 80369 80375 80379 80385 80387 80391 80397 80399 80405 80411 80415 80417 80421 80427 80429 80435 80439 80441 80445 80447 80451 80453 80455 80456 80457 80459 80460 80461 80463 80465 80469 80471 80475 80477 80481 80487 80489 80495 80499 80501 80505 80511 80517 80519 80525 80529 80531 80537 80541 80547 80555 266669
科目:
来源:2010-2011学年福建省泉州七中复读段高三(上)周考数学试卷(理科)(解析版)
题型:解答题
设集合A={x|x2-3x+2=0},B={x|x2+2(a+1)x+(a2-5)=0}.
(1)若A∩B={2},求实数a的值;
(2)若A∪B=A,求实数a的取值范围.
查看答案和解析>>
科目:
来源:2010-2011学年福建省泉州七中复读段高三(上)周考数学试卷(理科)(解析版)
题型:解答题
命题p:实数x满足x2-4ax+3a2<0,其中a<0;命题q:实数x满足x2-x-6≤0或x2+2x-8>0;若¬p是¬q的必要不充分条件,求a的取值范围.
查看答案和解析>>
科目:
来源:2010-2011学年福建省泉州七中复读段高三(上)周考数学试卷(理科)(解析版)
题型:解答题
设f(x)是定义在[-1,1]上的偶函数,当x∈[-1,0]时,f(x)=-2ax+4x3.
(Ⅰ) 若f(x)在(0,1]上为增函数,求a的取值范围;
(Ⅱ) 是否存在正整数a,使f(x)的图象的最高点落在直线y=12上?若存在,求出a的值;若不存在,请说明理由.
查看答案和解析>>
科目:
来源:2010-2011学年福建省泉州七中复读段高三(上)周考数学试卷(理科)(解析版)
题型:解答题
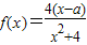
已知函数

.(a∈R)
(Ⅰ)判断f(x)的奇偶性;
(Ⅱ)设方程x
2-2ax-1=0的两实根为m,n(m<n),证明函数f(x)是[m,n]上的增函数.
查看答案和解析>>
科目:
来源:2010-2011学年福建省泉州七中复读段高三(上)周考数学试卷(理科)(解析版)
题型:解答题
某隧道长2150m,通过隧道的车速不能超过20m/s.一列有55辆车身长都为10m的同一车型的车队(这种型号的车能行驶的最高速为40m/s)匀速通过该隧道,设车队的速度为xm/s,根据安全和车流的需要,当0<x≤10时,相邻两车之间保持20m的距离;当10<x≤20时,相邻两车之间保持

m的距离.自第1辆车车头进入隧道至第55辆车尾离开隧道所用的时间为y(s).
(1)将y表示为x的函数;
(2)求车队通过隧道时间y的最小值及此时车队的速度.

查看答案和解析>>
科目:
来源:2010-2011学年福建省泉州七中复读段高三(上)周考数学试卷(理科)(解析版)
题型:解答题
已知函数

,g(x)=x.
(Ⅰ)求函数F(x)=f(x)-2•g(x)的极值点;
(Ⅱ)若函数F(x)=f(x)-2•g(x)在[e
t,+∞)(t∈Z)上有零点,求t的最大值;
(Ⅲ)证明:当x>0时,有

成立;若

(n∈N
*),试问数列{b
n}中是否存在b
n=b
m(n≠m)?若存在,求出所有相等的两项;若不存在,请说明理由.(e为自然对数的底数)
查看答案和解析>>
科目:
来源:2008-2009学年北京四中高二(下)期中数学试卷(理科)(解析版)
题型:选择题
已知点P是曲线y=x
3+2x+1上的一点,过点P与此曲线的相切的直线l平行于直线y=2x-3,则切线l的方程是( )
A.

B.y=2x+1
C.y=2
D.y=2x+1或y=2
查看答案和解析>>
科目:
来源:2008-2009学年北京四中高二(下)期中数学试卷(理科)(解析版)
题型:选择题
函数f(x)的导函数为f′(x)=

,则f(x)的单调递增区间是( )
A.(-∞,0)
B.(1,+∞)
C.(0,1)
D.(-∞,0)∪(1,+∞)
查看答案和解析>>
科目:
来源:2008-2009学年北京四中高二(下)期中数学试卷(理科)(解析版)
题型:选择题
已知复数z=(m2-4)+(m2-m-6)i是纯虚数,则实数m=( )
A.±2
B.-2
C.2
D.3
查看答案和解析>>
科目:
来源:2008-2009学年北京四中高二(下)期中数学试卷(理科)(解析版)
题型:选择题
用反证法证明命题:“三角形的内角中至少有一个不大于60度”时,假设正确的是( )
A.假设三内角都不大于60度
B.假设三内角都大于60度
C.假设三内角至多有一个大于60度
D.假设三内角至多有两个大于60度
查看答案和解析>>