相关习题
0 80363 80371 80377 80381 80387 80389 80393 80399 80401 80407 80413 80417 80419 80423 80429 80431 80437 80441 80443 80447 80449 80453 80455 80457 80458 80459 80461 80462 80463 80465 80467 80471 80473 80477 80479 80483 80489 80491 80497 80501 80503 80507 80513 80519 80521 80527 80531 80533 80539 80543 80549 80557 266669
科目:
来源:2009-2010学年辽宁省沈阳二中高二(下)4月月考数学试卷(文科)(解析版)
题型:解答题
在极坐标系中,已知圆C的圆心C

,半径r=1,Q点在圆C上运动.
(1)求圆C的极坐标方程;
(2)若P在直线OQ上运动,且

,求动点P轨迹的极坐标方程.
查看答案和解析>>
科目:
来源:2009-2010学年辽宁省沈阳二中高二(下)4月月考数学试卷(文科)(解析版)
题型:解答题
假设关于某设备的使用年限x和所支出的维修费用y(万元),有如下的统计资料:
试求:
(1)对x与y进行线性相关性检验;
(2)如果y对x呈线性相关关系,求线性回归方程;(其中

和

均保留两位小数)
(3)估计使用年限为10年时,维修费用是多少万元?(保留两位小数)
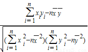
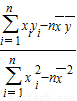
(参考公式与数据:r=

,

=

,

=

=

,

=90,

=140.8,

=4,

,

=1123,

≈8.9,

,n-2=3时,r
0.05=0.878)
查看答案和解析>>
科目:
来源:2009-2010学年辽宁省沈阳二中高二(下)4月月考数学试卷(文科)(解析版)
题型:解答题
对于任意实数a(a≠0)和b,不等式|a+b|+|a-b|≥|a|(|x-1|+|x-2|)恒成立,试求实数x的取值范围.
查看答案和解析>>
科目:
来源:2009-2010学年辽宁省沈阳二中高二(下)4月月考数学试卷(文科)(解析版)
题型:解答题
设函数f(x)=x2-mlnx,h(x)=x2-x+a.
(1)当a=0时,f(x)≥h(x)在(1,+∞)上恒成立,求实数m的取值范围;
(2)当m=2时,若函数k(x)=f(x)-h(x)在[1,3]上恰有两个不同零点,求实数a的取值范围;
(3)是否存在实数m,使函数f(x)和函数h(x)在公共定义域上具有相同的单调性?若存在,求出m的值,若不存在,说明理由.
查看答案和解析>>
科目:
来源:2010-2011学年福建省泉州七中复读段高三(上)周考数学试卷(理科)(解析版)
题型:选择题
特称命题“?x∈R,使x2+1<0”的否定可以写成( )
A.若x∉R,则x2+1≥0
B.?x∉R,x2+1≥0
C.?x∈R,x2+1<0
D.?x∈R,x2+1≥0
查看答案和解析>>
科目:
来源:2010-2011学年福建省泉州七中复读段高三(上)周考数学试卷(理科)(解析版)
题型:选择题
函数y=

的定义域为( )
A.[-3,4]
B.(1,4]
C.(1,

)∪(

,4]
D.(-3,

)∪(

,4]
查看答案和解析>>
科目:
来源:2010-2011学年福建省泉州七中复读段高三(上)周考数学试卷(理科)(解析版)
题型:选择题
已知p:不等式x
2+2x+m>0的解集为R;q:指数函数

为增函数,则p是q成立的( )
A.充分不必要条件
B.必要不充分条件
C.充要条件
D.既不充分条件也不必要条件
查看答案和解析>>
科目:
来源:2010-2011学年福建省泉州七中复读段高三(上)周考数学试卷(理科)(解析版)
题型:选择题
设f(x)是R上的任意函数,则下列叙述正确的是( )
A.f(x)f(-x)是奇函数
B.f(x)|f(-x)|是奇函数
C.f(x)-f(-x)是偶函数
D.f(x)+f(-x)是偶函数
查看答案和解析>>
科目:
来源:2010-2011学年福建省泉州七中复读段高三(上)周考数学试卷(理科)(解析版)
题型:选择题
有限集合S中元素的个数记做card(S),设A,B都为有限集合,给出下列命题:
①A∩B=∅的充要条件是card(A∪B)=card(A)+card(B);
②A⊆B的必要条件是card(A)≤card(B);
③A?B的充要条件是card(A)≤card(B);
④A=B的充要条件是card(A)=card(B);
其中真命题的序号是( )
A.③④
B.①②
C.①④
D.②③
查看答案和解析>>
科目:
来源:2010-2011学年福建省泉州七中复读段高三(上)周考数学试卷(理科)(解析版)
题型:选择题
命题p:?x∈[1,2],x2-a≥0;命题q:?x∈R,x2+2ax+2-a=0,若命题p且q为真,则a取值范围为( )
A.a≤-2或a=1
B.a≤-2或1≤a≤2
C.a≥1
D.-2a≤a≤1
查看答案和解析>>