相关习题
 0  80370  80378  80384  80388  80394  80396  80400  80406  80408  80414  80420  80424  80426  80430  80436  80438  80444  80448  80450  80454  80456  80460  80462  80464  80465  80466  80468  80469  80470  80472  80474  80478  80480  80484  80486  80490  80496  80498  80504  80508  80510  80514  80520  80526  80528  80534  80538  80540  80546  80550  80556  80564  266669 

科目: 来源:2012-2013学年江西省吉安市安福中学高三(上)第三次段考数学试卷 (文科)(解析版) 题型:填空题

设等比数列{an}的公比q=2,前n项和为Sn,若S4=1,则S8=   

查看答案和解析>>

科目: 来源:2012-2013学年江西省吉安市安福中学高三(上)第三次段考数学试卷 (文科)(解析版) 题型:填空题

已知函数f(x)=2x2-xf′(2),则函数f(x)的图象在点(2,f(2))处的切线方程是   

查看答案和解析>>

科目: 来源:2012-2013学年江西省吉安市安福中学高三(上)第三次段考数学试卷 (文科)(解析版) 题型:填空题

在等差数列{an}中,7a5+5a9=0,且a5<a9,则使该数列前n项和Sn取得最小值时的n=   

查看答案和解析>>

科目: 来源:2012-2013学年江西省吉安市安福中学高三(上)第三次段考数学试卷 (文科)(解析版) 题型:填空题

已知A、B为椭圆C:的长轴的两个端点,P是椭圆C上的动点,且∠APB的最大值是,则m=   

查看答案和解析>>

科目: 来源:2012-2013学年江西省吉安市安福中学高三(上)第三次段考数学试卷 (文科)(解析版) 题型:填空题

设定义在R的函数f(x)同时满足以下条件:①f(x)+f(-x)=0;②f(x)=f(x+2);③当0≤x<1时,f(x)=2x-1.则=   

查看答案和解析>>

科目: 来源:2012-2013学年江西省吉安市安福中学高三(上)第三次段考数学试卷 (文科)(解析版) 题型:解答题

等比数列{an}中,已知a1=2,a4=16
(I)求数列{an}的通项公式;
(Ⅱ)若a3,a5分别为等差数列{bn}的第3项和第5项,试求数列{bn}的通项公式及前n项和Sn

查看答案和解析>>

科目: 来源:2012-2013学年江西省吉安市安福中学高三(上)第三次段考数学试卷 (文科)(解析版) 题型:解答题

已知函数
(1)若a=-1,求f(x)的单调区间;   
(2)若f(x)有最大值3,求a的值.

查看答案和解析>>

科目: 来源:2012-2013学年江西省吉安市安福中学高三(上)第三次段考数学试卷 (文科)(解析版) 题型:解答题

已知圆C经过点A(-2,0),B(0,2),且圆心在直线y=x上,又直线l:y=kx+1与圆C相交于P、Q两点.
(1)求圆C的方程;
(2)若,求实数k的值;

查看答案和解析>>

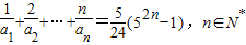
科目: 来源:2012-2013学年江西省吉安市安福中学高三(上)第三次段考数学试卷 (文科)(解析版) 题型:解答题

已知数列﹛an﹜满足:
(Ⅰ)求数列﹛an﹜的通项公式;
( II)设,求

查看答案和解析>>

科目: 来源:2012-2013学年江西省吉安市安福中学高三(上)第三次段考数学试卷 (文科)(解析版) 题型:解答题

已知函数在x=a处取得极值.
(Ⅰ)求
(Ⅱ)设函数g(x)=2x3-3af′(x)-6a3,如果g(x)在开区间(0,1)上存在极小值,求实数a的取值范围.

查看答案和解析>>

同步练习册答案