相关习题
0 80380 80388 80394 80398 80404 80406 80410 80416 80418 80424 80430 80434 80436 80440 80446 80448 80454 80458 80460 80464 80466 80470 80472 80474 80475 80476 80478 80479 80480 80482 80484 80488 80490 80494 80496 80500 80506 80508 80514 80518 80520 80524 80530 80536 80538 80544 80548 80550 80556 80560 80566 80574 266669
科目:
来源:2010-2011学年辽宁省葫芦岛一中高二(下)第二次月考数学试卷(理科)(解析版)
题型:解答题
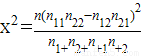
某班主任对班级22名学生进行了作业量多少的调查,数据如下表:在喜欢玩电脑游戏的12中,有10人认为作业多,2人认为作业不多;在不喜欢玩电脑游戏的10人中,有3人认为作业多,7人认为作业不多.
(1)根据以上数据建立一个2×2列联表;
(2)试问喜欢电脑游戏与认为作业多少是否有关系?(可能用到的公式:

,可能用到数据:P(Χ
2≥6.635)=0.01,P(Χ
2≥3.841)=0.05)
查看答案和解析>>
科目:
来源:2010-2011学年辽宁省葫芦岛一中高二(下)第二次月考数学试卷(理科)(解析版)
题型:解答题
已知两个正数a、b.则

.三个正数a、b、c,则

;…类比写出n个正数的关系式并加以证明.
查看答案和解析>>
科目:
来源:2010-2011学年辽宁省葫芦岛一中高二(下)第二次月考数学试卷(理科)(解析版)
题型:解答题
已知定义在I上的函数f(x)的导函数为f'(x),满足0<f'(x)<2且f'(x)≠1,常数C
1是方程f(x)-x=0的实根,常数C
2是方程f(x)-2x=0的实根.
(1)若对任意[a,b]⊆I,存在x
o∈(a,b)使等式

成立.证明:方程f(x)-x=0有且只有一个实根;
(2)求证:当x>c
2时,总有f(x)<2x;
(3)若|x
1-c
1|<1,|x
2-c
1|<1,求证:|f(x
1)-f(x
2)|<4.
查看答案和解析>>
科目:
来源:2010-2011学年辽宁省葫芦岛一中高二(下)第二次月考数学试卷(理科)(解析版)
题型:解答题
已知A、B、C、D为圆O上的四点,直线DE为圆O的切线,AC∥DE,AC与BD相交于H点
(Ⅰ)求证:BD平分∠ABC
(Ⅱ)若AB=4,AD=6,BD=8,求AH的长.

查看答案和解析>>
科目:
来源:2010-2011学年辽宁省葫芦岛一中高二(下)第二次月考数学试卷(理科)(解析版)
题型:解答题
已知直线l的极坐标方程为ρ(sinθ+cosθ)=1,曲线C的参数方程为

(θ为参数).
(Ⅰ)求直线l的直角坐标方程;
(Ⅱ)设直线l与曲线C交于A,B四两点,原点为O,求△ABO的面积.
查看答案和解析>>
科目:
来源:2010-2011学年辽宁省葫芦岛一中高二(下)第二次月考数学试卷(理科)(解析版)
题型:解答题
选修4-5:不等式选讲
已知函数f(x)=|x-a|.
(I)若不等式f(x)≤m的解集为{x|-1≤x≤5},求实数a,m的值.
(II)当a=2时,解关于x的不等式f(x)+t≥f(x+2t)(t≥0).
查看答案和解析>>
科目:
来源:2008-2009学年江西省吉安市白鹭洲中学高二(下)第一次月考数学试卷(解析版)
题型:选择题
如图,点P、Q、R、S分别在正方体的四条棱上,并且是所在棱的中点,则直线PQ与RS是异面直线的一个图是( )
A.

B.

C.

D.

查看答案和解析>>
科目:
来源:2008-2009学年江西省吉安市白鹭洲中学高二(下)第一次月考数学试卷(解析版)
题型:选择题
下列等式中,使点M与点A、B、C一定共面的是( )
A.

B.

C.

D.

查看答案和解析>>
科目:
来源:2008-2009学年江西省吉安市白鹭洲中学高二(下)第一次月考数学试卷(解析版)
题型:选择题
a,b是异面直线,以下四个命题,正确命题的个数是( )
①过a至少有一个平面平行于b;②过a至少有一个平面垂直于b;
③至多有一条直线与a,b都垂直;④至少有一个平面分别与a,b都平行.
A.0
B.1
C.2
D.3
查看答案和解析>>
科目:
来源:2008-2009学年江西省吉安市白鹭洲中学高二(下)第一次月考数学试卷(解析版)
题型:选择题
已知

=(3,-2,-3),

=(-1,x-1,1),且

与

的夹角为钝角,则x的取值范围是( )
A.(-2,+∞)
B.(-2,

)∪(

,+∞)
C.(-∞,-2)
D.(

,+∞)
查看答案和解析>>