相关习题
 0  80388  80396  80402  80406  80412  80414  80418  80424  80426  80432  80438  80442  80444  80448  80454  80456  80462  80466  80468  80472  80474  80478  80480  80482  80483  80484  80486  80487  80488  80490  80492  80496  80498  80502  80504  80508  80514  80516  80522  80526  80528  80532  80538  80544  80546  80552  80556  80558  80564  80568  80574  80582  266669 

科目: 来源:2010-2011学年浙江省宁波市鄞州高级中学高二(上)12月月考数学试卷(理科)(解析版) 题型:选择题

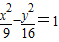
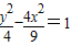
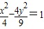
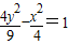
与双曲线有共同的渐近线,且经过点的双曲线的方程为( )
A.
B.
C.
D.

查看答案和解析>>

科目: 来源:2010-2011学年浙江省宁波市鄞州高级中学高二(上)12月月考数学试卷(理科)(解析版) 题型:选择题

某人制定了一项旅游计划,从7个旅游城市中选择5个进行游览.如果A,B为必选城市,并且在游览过程中必须按先A后B的次序经过A,B两城市(A,B两城市可以不相邻),则有不同的游览线路( )
A.120种
B.240种
C.480种
D.600种

查看答案和解析>>

科目: 来源:2010-2011学年浙江省宁波市鄞州高级中学高二(上)12月月考数学试卷(理科)(解析版) 题型:选择题

函数f(x)=2x2-lnx的递增区间是( )
A.(0,
B.(-,0)及(
C.(
D.()及(0,

查看答案和解析>>

科目: 来源:2010-2011学年浙江省宁波市鄞州高级中学高二(上)12月月考数学试卷(理科)(解析版) 题型:选择题

已知椭圆,F1,F2为两焦点,若椭圆上存在P,使得.则a,b满足的条件为( )
A.
B.
C.
D.

查看答案和解析>>

科目: 来源:2010-2011学年浙江省宁波市鄞州高级中学高二(上)12月月考数学试卷(理科)(解析版) 题型:选择题

设一随机试验的结果只有A和,P(A)=p,令随机变量,则X的方差为( )
A.p
B.2p(1-p)
C.-p(1-p)
D.p(1-p)

查看答案和解析>>

科目: 来源:2010-2011学年浙江省宁波市鄞州高级中学高二(上)12月月考数学试卷(理科)(解析版) 题型:选择题

为了庆祝六一儿童节,某食品厂制作了3种不同的精美卡片,每袋食品随机装入一张卡片,集齐3种卡片可获奖,现购买该食品5袋,能获奖的概率为( )
A.
B.
C.
D.

查看答案和解析>>

科目: 来源:2010-2011学年浙江省宁波市鄞州高级中学高二(上)12月月考数学试卷(理科)(解析版) 题型:选择题

设f (x)、g(x)分别是定义在R上的奇函数和偶函数,当x<0时,f′(x)g(x)+f(x)g′(x)>0,且g(-3)=0,则不等式f(x)g(x)<0的解集是( )?
A.(-3,0)∪(3,+∞)
B.(-3,0)∪(0,3)
C.(-∞,-3)∪(3,+∞)
D.(-∞,-3)∪(0,3)?

查看答案和解析>>

科目: 来源:2010-2011学年浙江省宁波市鄞州高级中学高二(上)12月月考数学试卷(理科)(解析版) 题型:填空题

已知(1-x)7=a+a1x+a2x2+…+a7x7,则|a|+|a1|+|a2|+…+|a7|=   

查看答案和解析>>

科目: 来源:2010-2011学年浙江省宁波市鄞州高级中学高二(上)12月月考数学试卷(理科)(解析版) 题型:填空题

对于抛物线y2=4x上任意一点Q,点P(a,0)都满足|PQ|≥|a|,则a的取值范围是   

查看答案和解析>>

科目: 来源:2010-2011学年浙江省宁波市鄞州高级中学高二(上)12月月考数学试卷(理科)(解析版) 题型:填空题

从5双不同的鞋中任意取出4只所取的4只鞋中恰好有2只是成双的概率为   

查看答案和解析>>

同步练习册答案