相关习题
 0  80395  80403  80409  80413  80419  80421  80425  80431  80433  80439  80445  80449  80451  80455  80461  80463  80469  80473  80475  80479  80481  80485  80487  80489  80490  80491  80493  80494  80495  80497  80499  80503  80505  80509  80511  80515  80521  80523  80529  80533  80535  80539  80545  80551  80553  80559  80563  80565  80571  80575  80581  80589  266669 

科目: 来源:2009-2010学年广西柳州市铁路一中学高一(上)段考数学试卷(文科)(解析版) 题型:解答题

已知双曲线3x2-y2=3,过点P(2,1)作直线l交双曲线于A,B两点.
(1)求弦AB中点M的轨迹.
(2)若P恰为AB中点,求l的方程.

查看答案和解析>>

科目: 来源:2009-2010学年广西柳州市铁路一中学高一(上)段考数学试卷(文科)(解析版) 题型:解答题

如图,圆O1与圆O2的半径都是1,O1O2=4,过动点P分别作圆O1.圆O2的切线PM、PN(M.N分别为切点),使得PM=PN.试建立适当的坐标系,并求动点P的轨迹方程.

查看答案和解析>>

科目: 来源:2009-2010学年广西柳州市铁路一中学高一(上)段考数学试卷(文科)(解析版) 题型:解答题

在以坐标轴为对称轴的椭圆上,O为坐标原点,A为右顶点,F为右焦点,过F作MN∥y轴,交椭圆于M,N两点,若|MN|=3,椭圆的离心率是方程2x2-5x+2=0的根.
(1)求椭圆的方程;
(2)若此椭圆的长轴不变,当以OA为斜边的直角三角形的直角顶点P落在椭圆上时,求椭圆短半轴长b的取值范围.

查看答案和解析>>

科目: 来源:2012-2013学年贵州省黔西南州安龙三中高三(上)8月月考数学试卷(理科)(解析版) 题型:选择题

已知集合M={-1,0,1},N={y|y=cosx,x∈M},则集合N的子集个数为( )
A.3
B.4
C.7
D.8

查看答案和解析>>

科目: 来源:2012-2013学年贵州省黔西南州安龙三中高三(上)8月月考数学试卷(理科)(解析版) 题型:选择题

若f(x)=-x2+2ax与g(x)=在区间[1,2]上都是减函数,则a的取值范围是( )
A.(0,1)
B.(0,1]
C.(-1,0)∪(0,1)
D.(-1,0)∪(0,1

查看答案和解析>>

科目: 来源:2012-2013学年贵州省黔西南州安龙三中高三(上)8月月考数学试卷(理科)(解析版) 题型:选择题

下列函数中,在其定义域内是减函数的是( )
A.f(x)=-x2+x+1
B.f(x)=
C.f(x)=
D.f(x)=ln

查看答案和解析>>

科目: 来源:2012-2013学年贵州省黔西南州安龙三中高三(上)8月月考数学试卷(理科)(解析版) 题型:选择题

函数f(x)=log3x+x-3的零点一定在区间( )
A.(0,1)
B.(1,2)
C.(2,3)
D.(3,4)

查看答案和解析>>

科目: 来源:2012-2013学年贵州省黔西南州安龙三中高三(上)8月月考数学试卷(理科)(解析版) 题型:选择题

下列函数中,在其定义域内既是奇函数又是减函数的是( )
A.y=-x3,x∈R
B.y=sinx,x∈R
C.y=x,x∈R
D.

查看答案和解析>>

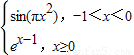
科目: 来源:2012-2013学年贵州省黔西南州安龙三中高三(上)8月月考数学试卷(理科)(解析版) 题型:选择题

函数f(x)=若f(1)+f(a)=2,则a的所有可能值为( )
A.1
B.-
C.1,-
D.1,

查看答案和解析>>

科目: 来源:2012-2013学年贵州省黔西南州安龙三中高三(上)8月月考数学试卷(理科)(解析版) 题型:选择题

设函数f(x)(x∈R)满足∵f(-x)=f(x),f(x+2)=f(x),则y=f(x)的图象可能是( )
A.
B.
C.
D.

查看答案和解析>>

同步练习册答案