相关习题
 0  80403  80411  80417  80421  80427  80429  80433  80439  80441  80447  80453  80457  80459  80463  80469  80471  80477  80481  80483  80487  80489  80493  80495  80497  80498  80499  80501  80502  80503  80505  80507  80511  80513  80517  80519  80523  80529  80531  80537  80541  80543  80547  80553  80559  80561  80567  80571  80573  80579  80583  80589  80597  266669 

科目: 来源:2010-2011学年江苏省南京27中高三(上)学情分析数学试卷(13)(解析版) 题型:填空题

若复数z(1-i)=a+3i(i是虚数单位,a是实数),且为z的共轭复数),则a=   

查看答案和解析>>

科目: 来源:2010-2011学年江苏省南京27中高三(上)学情分析数学试卷(13)(解析版) 题型:填空题

记等差数列{an}的前n项和为Sn,若S2=4,S4=20,则该数列的公差d=   

查看答案和解析>>

科目: 来源:2010-2011学年江苏省南京27中高三(上)学情分析数学试卷(13)(解析版) 题型:填空题

在长为1的线段上任取两点,则这两点之间的距离小于的概率为    

查看答案和解析>>

科目: 来源:2010-2011学年江苏省南京27中高三(上)学情分析数学试卷(13)(解析版) 题型:填空题

如图是2008年北京奥运会上,七位评委为某奥运项目打出的分数的茎叶统计图,去掉一个最高分和一个最低分后,所剩数据的平均数为    ;方差为   

查看答案和解析>>

科目: 来源:2010-2011学年江苏省南京27中高三(上)学情分析数学试卷(13)(解析版) 题型:填空题

已知函数f(x)=sinωx+cosωx(ω>0),y=f(x)的图象与直线y=2的两个相邻交点的距离等于π,则f(x)的单调递增区间是    

查看答案和解析>>

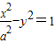
科目: 来源:2010-2011学年江苏省南京27中高三(上)学情分析数学试卷(13)(解析版) 题型:填空题

已知抛物线y2=4x的准线与双曲线交于A、B两点,点F为抛物线的焦点,若△FAB为直角三角形,则双曲线的离心率是    

查看答案和解析>>

科目: 来源:2010-2011学年江苏省南京27中高三(上)学情分析数学试卷(13)(解析版) 题型:填空题

如图给出的是计算的值的一个框图,其中菱形判断框内应填入的条件是   

查看答案和解析>>

科目: 来源:2010-2011学年江苏省南京27中高三(上)学情分析数学试卷(13)(解析版) 题型:填空题

若曲线在点处的切线与两个坐标围成的三角形的面积为18,则a=   

查看答案和解析>>

科目: 来源:2010-2011学年江苏省南京27中高三(上)学情分析数学试卷(13)(解析版) 题型:填空题

已知函数若f(x)=2,则x=   

查看答案和解析>>

科目: 来源:2010-2011学年江苏省南京27中高三(上)学情分析数学试卷(13)(解析版) 题型:填空题

已知平面上三点A、B、C满足||=2,||=1,||=,则++的值等于   

查看答案和解析>>

同步练习册答案