相关习题
0 80427 80435 80441 80445 80451 80453 80457 80463 80465 80471 80477 80481 80483 80487 80493 80495 80501 80505 80507 80511 80513 80517 80519 80521 80522 80523 80525 80526 80527 80529 80531 80535 80537 80541 80543 80547 80553 80555 80561 80565 80567 80571 80577 80583 80585 80591 80595 80597 80603 80607 80613 80621 266669
科目:
来源:2009-2010学年四川省成都七中高二(上)数学单元测试:排列组合与二项式定理(解析版)
题型:解答题
4位男生和4位女生共8位同学站成一排,计算下列情况的排队种数:
(1)男生甲和女生乙相邻排队;
(2)男生甲和女生乙顺序固定;
(3)若女生甲不站两端,4位男生中有且只有两位男生相邻.
查看答案和解析>>
科目:
来源:2009-2010学年四川省成都七中高二(上)数学单元测试:排列组合与二项式定理(解析版)
题型:解答题
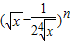
已知

的展开式中,前三项系数的绝对值依次成等差数列.
(1)展开式中是否有常数项?若有请求出常数项,若没有请说明理由;
(2)求展开式中所有的有理项.
查看答案和解析>>
科目:
来源:2009-2010学年四川省成都七中高二(上)数学单元测试:排列组合与二项式定理(解析版)
题型:解答题
一个口袋内有4个不同的红球,6个不同的白球,
(1)从中任取4个球,红球的个数不比白球少的取法有多少种?
(2)若取一个红球记2分,取一个白球记1分,从中任取5个球,使总分不少于7分的取法有多少种?
查看答案和解析>>
科目:
来源:2009-2010学年四川省成都七中高二(上)数学单元测试:排列组合与二项式定理(解析版)
题型:解答题
用数字0,1,2,3,4,5可以组成没有重复数字.
(1)比20000大的五位偶数共有多少个;
(2)从小到大排列所有的五位数,问35214是第几位?
(3)能被6整除的五位数有多少个.
查看答案和解析>>
科目:
来源:2009-2010学年四川省成都七中高二(上)数学单元测试:排列组合与二项式定理(解析版)
题型:解答题
(1)求值:(C2)2+(C21)2+(C22)2,C42;(C3)2+(C31)2+(C32)2+(C33)2,C63;
(2)由(1)中计算结果能得到(Cn)2+(Cn1)2+…+(Cnn)2和C2nn相等吗,试证明你的结论.
查看答案和解析>>
科目:
来源:2009-2010学年四川省成都七中高二(上)数学单元测试:排列组合与二项式定理(解析版)
题型:解答题
已知fk(x)=(n-k+1)xn-k(其中k≤n,k,n∈N),F(x)=Cn°f(x2)+Cn1f1(x2)+…+Cnkfk(x2)+…+Cnnfn(x2),x∈[-1,1]
(1)试用n,k表示:F(1),F(0)
(2)证明:F(1)-F(0)≤2n-1(n+2)
查看答案和解析>>
科目:
来源:2010-2011学年四川省雅安中学高一(下)5月月考数学试卷(理科)(解析版)
题型:选择题
cos43°cos77°+sin43°cos167°的值是( )
A.

B.

C.

D.

查看答案和解析>>
科目:
来源:2010-2011学年四川省雅安中学高一(下)5月月考数学试卷(理科)(解析版)
题型:选择题
若a、b、c∈R,a>b,则下列不等式成立的是( )
A.

B.a
2>b
2C.

D.a|c|>b|c|
查看答案和解析>>
科目:
来源:2010-2011学年四川省雅安中学高一(下)5月月考数学试卷(理科)(解析版)
题型:选择题
如果等差数列{an}中,a3+a4+a5=12,那么a1+a2+…+a7=( )
A.14
B.21
C.28
D.35
查看答案和解析>>
科目:
来源:2010-2011学年四川省雅安中学高一(下)5月月考数学试卷(理科)(解析版)
题型:选择题
在△ABC中,A、B、C所对的边分别是a、b、c,已知

,则C=( )
A.

B.

C.

D.

查看答案和解析>>