相关习题
 0  80429  80437  80443  80447  80453  80455  80459  80465  80467  80473  80479  80483  80485  80489  80495  80497  80503  80507  80509  80513  80515  80519  80521  80523  80524  80525  80527  80528  80529  80531  80533  80537  80539  80543  80545  80549  80555  80557  80563  80567  80569  80573  80579  80585  80587  80593  80597  80599  80605  80609  80615  80623  266669 

科目: 来源:2010-2011学年河南省郑州外国语学校高三(上)9月月考数学试卷(文科)(解析版) 题型:解答题

某电视生产厂家有A、B两种型号的电视机参加家电下乡活动.若厂家投放A、B型号电视机的价值分别为p、q万元,农民购买电视机获得相应的补贴分别为p,mln(q+1)(m>0)万元已知厂家把价值为10万元的A、B两种型号的电视机投放市场,且A、B两种型号的电视机投放金额都不低于1万元(精确到0.1,参考数据:ln4≈1.4).
(1)当时,请你制定一个投放方案,使得在这次活动中农民得到的补贴最多,并求出其最大值;
(2)讨论农民得到的补贴随厂家投放B型号电视机金额的变化而变化的情况.

查看答案和解析>>

科目: 来源:2010-2011学年河南省郑州外国语学校高三(上)9月月考数学试卷(文科)(解析版) 题型:解答题

已知函数f(x)=(x3+3x2+ax+b)e-x
(1)如a=b=-3,求f(x)的单调区间;
(2)若f(x)在(-∞,α),(2,β)单调增加,在(α,2),(β,+∞)单调减少,证明:β-α<6.

查看答案和解析>>

科目: 来源:2010-2011学年河南省郑州外国语学校高三(上)9月月考数学试卷(文科)(解析版) 题型:解答题

如图,PA为⊙O的切线,A为切点,PO交⊙O于点B,OA=3,OP=6,求∠BAP的度数.

查看答案和解析>>

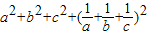
科目: 来源:2010-2011学年河南省郑州外国语学校高三(上)9月月考数学试卷(文科)(解析版) 题型:解答题

已知a,b,c均为正数,证明:≥6,并确定a,b,c为何值时,等号成立.

查看答案和解析>>

科目: 来源:2009-2010学年四川省成都七中高二(上)数学单元测试:排列组合与二项式定理(解析版) 题型:选择题

用数字1,2,3,4,5组成的无重复数字的四位偶数的个数为( )
A.8
B.24
C.48
D.120

查看答案和解析>>

科目: 来源:2009-2010学年四川省成都七中高二(上)数学单元测试:排列组合与二项式定理(解析版) 题型:选择题

高三(一)班学要安排毕业晚会的4个音乐节目,2个舞蹈节目和1个曲艺节目的演出顺序,要求两个舞蹈节目不连排,则不同排法的种数是( )
A.1800
B.3600
C.4320
D.5040

查看答案和解析>>

科目: 来源:2009-2010学年四川省成都七中高二(上)数学单元测试:排列组合与二项式定理(解析版) 题型:选择题

现某高校有5个报送指标分配给高三年级的3个班,每班至少一个指标,则有多少种不同的分配方式( )
A.21
B.4
C.8
D.6

查看答案和解析>>

科目: 来源:2009-2010学年四川省成都七中高二(上)数学单元测试:排列组合与二项式定理(解析版) 题型:选择题

29+C9227+C9425+C9623+C982-C9128-C9326-C9524-C9722的值是( )
A.0
B.49
C.51
D.513

查看答案和解析>>

科目: 来源:2009-2010学年四川省成都七中高二(上)数学单元测试:排列组合与二项式定理(解析版) 题型:选择题

若汽车牌照号码由2个不同的英文字母和3个数字组成,不相同的牌照号码共有( )
A.(C2612A104
B.A262A103
C.C262A52103
D.A262103

查看答案和解析>>

科目: 来源:2009-2010学年四川省成都七中高二(上)数学单元测试:排列组合与二项式定理(解析版) 题型:选择题

某地政府召集5家企业的负责人开会,已知甲企业有2人到会,其余4家企业各有1人到会,会上有3人发言,则这3人来自3家不同企业的可能情况的种数为( )
A.14
B.16
C.20
D.48

查看答案和解析>>

同步练习册答案