相关习题
 0  80436  80444  80450  80454  80460  80462  80466  80472  80474  80480  80486  80490  80492  80496  80502  80504  80510  80514  80516  80520  80522  80526  80528  80530  80531  80532  80534  80535  80536  80538  80540  80544  80546  80550  80552  80556  80562  80564  80570  80574  80576  80580  80586  80592  80594  80600  80604  80606  80612  80616  80622  80630  266669 

科目: 来源:2010-2011学年陕西省宝鸡中学高三(上)第一次月考数学试卷(文科)(解析版) 题型:填空题

某地区居民生活用电分为高峰和低谷两个时间段进行分时计价.该地区的电网销售电价表如图:
高峰时间段用电价格表低谷时间段用电价格表
高峰月用电量
(单位:千瓦时)
高峰电价(单位:元/千瓦时)低谷月用电量
(单位:千瓦时)
低谷电价(单位:
元/千瓦时)
50及以下的部分0.56850及以下的部分0.288
超过50至200的部分0.598超过50至200的部分0.318
超过200的部分0.668超过200的部分0.388
若某家庭5月份的高峰时间段用电量为200千瓦时,低谷时间段用电量为100千瓦时,则按这种计费方式该家庭本月应付的电费为    元(用数字作答)

查看答案和解析>>

科目: 来源:2010-2011学年陕西省宝鸡中学高三(上)第一次月考数学试卷(文科)(解析版) 题型:填空题

若圆x2+y2-2x-4y=0的圆心到直线x-y+a=0的距离为,则a的值为   

查看答案和解析>>

科目: 来源:2010-2011学年陕西省宝鸡中学高三(上)第一次月考数学试卷(文科)(解析版) 题型:填空题

若正方体的棱长为,则以该正方体各个面的中心为顶点的凸多面体的体积为   

查看答案和解析>>

科目: 来源:2010-2011学年陕西省宝鸡中学高三(上)第一次月考数学试卷(文科)(解析版) 题型:解答题

某商品每件成本9元,售价30元,每星期卖出432件.如果降低价格.销售量可以增加,且每星期多卖出的商品件数与商品单价的降低销x(单位:元,0≤x≤30)的平方成正比.已知商品单价降低2元时,一星期多卖出24件.
(Ⅰ)将一个星期的商品销售利润表示成x的函数;
(Ⅱ)如何定价才能使一个星期的商品销售利润最大?

查看答案和解析>>

科目: 来源:2010-2011学年陕西省宝鸡中学高三(上)第一次月考数学试卷(文科)(解析版) 题型:解答题

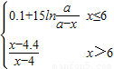
有时可用函数f(x)=,描述学习某学科知识的掌握程度.其中x表示某学科知识的学习次数(x∈N*),f(x)表示对该学科知识的掌握程度,正实数a与学科知识有关.
(1)证明:当x≥7时,掌握程度的增长量f(x+1)-f(x)总是下降;
(2)根据经验,学科甲、乙、丙对应的a的取值区间分别为(115,121],(121,127],(127,133].当学习某学科知识6次时,掌握程度是85%,请确定相应的学科.

查看答案和解析>>

科目: 来源:2010-2011学年陕西省宝鸡中学高三(上)第一次月考数学试卷(文科)(解析版) 题型:解答题

已知函数,常数a∈R).
(1)当a=2时,解不等式f(x)-f(x-1)>2x-1;
(2)讨论函数f(x)的奇偶性,并说明理由.

查看答案和解析>>

科目: 来源:2010-2011学年陕西省宝鸡中学高三(上)第一次月考数学试卷(文科)(解析版) 题型:解答题

如图,A,B,C,D为空间四点.在△ABC中,AB=2,AC=BC=
等边三角形ADB以AB为轴运动.
(Ⅰ)当平面ADB⊥平面ABC时,求CD;
(Ⅱ)当△ADB转动时,是否总有AB⊥CD?证明你的结论.

查看答案和解析>>

科目: 来源:2010-2011学年陕西省宝鸡中学高三(上)第一次月考数学试卷(文科)(解析版) 题型:解答题

如图,矩形ABCD的两条对角线相交于点M(2,0),AB边所在直线的方程为x-3y-6=0点T(-1,1)在AD边所在直线上.
(I)求AD边所在直线的方程;
(II)求矩形ABCD外接圆的方程;
(III)若动圆P过点N(-2,0),且与矩形ABCD的外接圆外切,求动圆P的圆心的轨迹方程.

查看答案和解析>>

科目: 来源:2007-2008学年福建省莆田四中高二(上)模块数学试卷(文科)(解析版) 题型:选择题

在复平面内,复数对应的点位于( )
A.第一象限
B.第二象限
C.第三象限
D.第四象限

查看答案和解析>>

科目: 来源:2007-2008学年福建省莆田四中高二(上)模块数学试卷(文科)(解析版) 题型:选择题

设a,b,c∈R,则复数(a+bi)(c+di)为实数的充要条件是( )
A.ad-bc=0
B.ac-bd=0
C.ac+bd=0
D.ad+bc=0

查看答案和解析>>

同步练习册答案