相关习题
 0  80464  80472  80478  80482  80488  80490  80494  80500  80502  80508  80514  80518  80520  80524  80530  80532  80538  80542  80544  80548  80550  80554  80556  80558  80559  80560  80562  80563  80564  80566  80568  80572  80574  80578  80580  80584  80590  80592  80598  80602  80604  80608  80614  80620  80622  80628  80632  80634  80640  80644  80650  80658  266669 

科目: 来源:2010-2011学年吉林省长春外国语学校高一(上)第一次月考数学试卷(解析版) 题型:选择题

若f(x-1)的定义域为[1,2],则f(x+2)的定义域为( )
A.[0,1]
B.[2,3]
C.[-2,-1]
D.无法确定

查看答案和解析>>

科目: 来源:2010-2011学年吉林省长春外国语学校高一(上)第一次月考数学试卷(解析版) 题型:选择题

已知y=f(x)为奇函数,当x≥0时f(x)=x(1-x),则当x≤0时,f(x)=( )
A.x(x-1)
B.-x(x+1)
C.x(x+1)
D.-x(x-1)

查看答案和解析>>

科目: 来源:2010-2011学年吉林省长春外国语学校高一(上)第一次月考数学试卷(解析版) 题型:选择题

已知g(x)=1-2x,f[g(x)]=(x≠0),则f()等于( )
A.15
B.1
C.3
D.30

查看答案和解析>>

科目: 来源:2010-2011学年吉林省长春外国语学校高一(上)第一次月考数学试卷(解析版) 题型:选择题

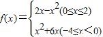
函数的值域是( )
A.[-9,0]
B.[-8,0)
C.[-8,1]
D.[-9,1]

查看答案和解析>>

科目: 来源:2010-2011学年吉林省长春外国语学校高一(上)第一次月考数学试卷(解析版) 题型:填空题

函数y=(k+2)x+1在实数集上是增函数,则k的范围是    

查看答案和解析>>

科目: 来源:2010-2011学年吉林省长春外国语学校高一(上)第一次月考数学试卷(解析版) 题型:填空题

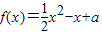
f(x)=,若f(x)=10,则x=   

查看答案和解析>>

科目: 来源:2010-2011学年吉林省长春外国语学校高一(上)第一次月考数学试卷(解析版) 题型:填空题

奇函数f(x)满足:①f(x)在(0,+∞)内单调递增;②f(1)=0;则不等式(x-1)f(x)>0的解集为:   

查看答案和解析>>

科目: 来源:2010-2011学年吉林省长春外国语学校高一(上)第一次月考数学试卷(解析版) 题型:填空题

如果f(x)=x2+x+a在[-1,1]上的最大值是2,那么f(x)在[-1,1]上的最小值是    

查看答案和解析>>

科目: 来源:2010-2011学年吉林省长春外国语学校高一(上)第一次月考数学试卷(解析版) 题型:解答题

已知全集U=x|x∈N,x<10,A=x|x=2k,k∈N,x∈U,B=x|x2-3x+2=0.
(1) 用列举法表示集合U,A,B.
(2)求A∩B,A∪B,CUA.

查看答案和解析>>

科目: 来源:2010-2011学年吉林省长春外国语学校高一(上)第一次月考数学试卷(解析版) 题型:解答题

若函数的定义域和值域均为[1,b](b>1),求a,b的值.

查看答案和解析>>

同步练习册答案