相关习题
 0  80495  80503  80509  80513  80519  80521  80525  80531  80533  80539  80545  80549  80551  80555  80561  80563  80569  80573  80575  80579  80581  80585  80587  80589  80590  80591  80593  80594  80595  80597  80599  80603  80605  80609  80611  80615  80621  80623  80629  80633  80635  80639  80645  80651  80653  80659  80663  80665  80671  80675  80681  80689  266669 

科目: 来源:2010-2011学年江西师大附中高三(上)10月月考数学试卷(文科)(解析版) 题型:填空题

sin14°cos16°+sin76°cos74°的值是   

查看答案和解析>>

科目: 来源:2010-2011学年江西师大附中高三(上)10月月考数学试卷(文科)(解析版) 题型:填空题

不等式|cosx+lg(9-x2)|<|cosx|+|lg(9-x2)|的解集为   

查看答案和解析>>

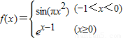
科目: 来源:2010-2011学年江西师大附中高三(上)10月月考数学试卷(文科)(解析版) 题型:填空题

函数,若f(1)+f(a)=2,则a=   

查看答案和解析>>

科目: 来源:2010-2011学年江西师大附中高三(上)10月月考数学试卷(文科)(解析版) 题型:填空题

给出下列命题:①若{an}成等比数列,Sn是前n项和,则S4,S8-S4,S12-S8成等比数列;②已知函数y=2sin(ωx+θ)为偶函数(0<θ<π),其图象与直线y=2的交点的横坐标为x1、x2,若|x1-x2|的最小值为π,则ω的值为2,θ的值为;③正弦函数在第一象限为单调递增函数;④函数y=2sin(2x-)的图象的一个对称点是(,0);其中正确命题的序号是    .(把你认为正确命题的序号都填上)

查看答案和解析>>

科目: 来源:2010-2011学年江西师大附中高三(上)10月月考数学试卷(文科)(解析版) 题型:解答题

设两个非零向量不共线.
(1)若+b,,求证:A,B,D三点共线;
(2)试确定实数k,使ka+b和a+kb共线.

查看答案和解析>>

科目: 来源:2010-2011学年江西师大附中高三(上)10月月考数学试卷(文科)(解析版) 题型:解答题

已知向量
(1)令f(x)=(2,求f(x)解析式及单调递增区间.
(2)若x∈,求函数f(x)的最大值和最小值.

查看答案和解析>>

科目: 来源:2010-2011学年江西师大附中高三(上)10月月考数学试卷(文科)(解析版) 题型:解答题

已知向量...及实数x,y满足||=||=1,=+(x-3)
(1)求y关于x的函数关系 y=f(x)及其定义域.
(2)若x∈(1、6)时,不等式f(x)≥mx-16恒成立,求实数m的取值范围.

查看答案和解析>>

科目: 来源:2010-2011学年江西师大附中高三(上)10月月考数学试卷(文科)(解析版) 题型:解答题

是否存在常数m,使得等式如果存在,请求出常数m的值;如果不存在,请说明理由.

查看答案和解析>>

科目: 来源:2010-2011学年江西师大附中高三(上)10月月考数学试卷(文科)(解析版) 题型:解答题

在△ABC中,a,b,c分别为角A,B,C的对边,且:(a2+b2)sin(A-B)=(a2-b2)sinC
(1)若a=3,b=4,求的值.
(2)若∠C=60°,△ABC面积为.求的值.

查看答案和解析>>

科目: 来源:2010-2011学年江西师大附中高三(上)10月月考数学试卷(文科)(解析版) 题型:解答题

已知函数
(1)试在函数f(x)的图象上求两点,使以这两点为切点的切线互相垂直,且切点的横坐标都在区间[-1,1]上;
(2)求证:(x∈R)

查看答案和解析>>

同步练习册答案