相关习题
0 80507 80515 80521 80525 80531 80533 80537 80543 80545 80551 80557 80561 80563 80567 80573 80575 80581 80585 80587 80591 80593 80597 80599 80601 80602 80603 80605 80606 80607 80609 80611 80615 80617 80621 80623 80627 80633 80635 80641 80645 80647 80651 80657 80663 80665 80671 80675 80677 80683 80687 80693 80701 266669
科目:
来源:2010-2011学年浙江省嘉兴一中高三(上)10月月考数学试卷(文科)(解析版)
题型:填空题
对某班最近一次数学测试成绩(得分取整数)进行统计分析,将所有成绩由低到高分成五组,并绘制成如图所示的频数分布直方图,根据直方图提供的信息,在这次测试中,成绩为A等(80分以上,不含80分)的百分率为
%.(精确到1%)

查看答案和解析>>
科目:
来源:2010-2011学年浙江省嘉兴一中高三(上)10月月考数学试卷(文科)(解析版)
题型:填空题
在正方体ABCD-A1B1C1D1中,直线BD1与平面ABCD所成角的正切值是 .
查看答案和解析>>
科目:
来源:2010-2011学年浙江省嘉兴一中高三(上)10月月考数学试卷(文科)(解析版)
题型:填空题
下列正确结论的序号是 .
①命题?x,x2+x+1>0的否定是:?x,x2+x+1<0;
②“若ab=0,则a=0,或b=0”的否命题是“若ab≠0,则a≠0且b≠0”;
③若函数f(x-1)的图象关于直线x=1对称,则f(x)是偶函数;
④函数y=f(x+1)与函数y=f(1-x)的图象关于直线x=1对称.
查看答案和解析>>
科目:
来源:2010-2011学年浙江省嘉兴一中高三(上)10月月考数学试卷(文科)(解析版)
题型:填空题
已知函数

和g(x)=2cos(2x+φ)+1的图象的对称轴完全相同.若

,则f(x)的取值范围是
.
查看答案和解析>>
科目:
来源:2010-2011学年浙江省嘉兴一中高三(上)10月月考数学试卷(文科)(解析版)
题型:填空题
直线y=1与曲线y=x2-|x|+a有四个交点,则a的取值范围是 .
查看答案和解析>>
科目:
来源:2010-2011学年浙江省嘉兴一中高三(上)10月月考数学试卷(文科)(解析版)
题型:解答题
设函数f(α)=

α.
(1)设∠A是△ABC的内角,且为钝角,求f(A)的最小值;
(2)设∠A,∠B是锐角△ABC的内角,且∠A+∠B=

,f(A)=1,BC=2,求△ABC的三个内角的大小和AC边的长.
查看答案和解析>>
科目:
来源:2010-2011学年浙江省嘉兴一中高三(上)10月月考数学试卷(文科)(解析版)
题型:解答题
如图,在长方体ABCD-A1B1C1D1中,AD=AA1=1,AB=2.E、F分别为线段AB、D
1C上的点.
(I)若E、F分别为线段AB、D
1C的中点,求证:EF∥平面AD
1;
(II)已知二面角D
1-EC-D的大小为

,求AE的值.

查看答案和解析>>
科目:
来源:2010-2011学年浙江省嘉兴一中高三(上)10月月考数学试卷(文科)(解析版)
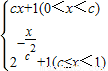
题型:解答题
已知函数f(x)=

满足f(c
2)=

.
(1)求常数c的值;
(2)解不等式f(x)>

.
查看答案和解析>>
科目:
来源:2010-2011学年浙江省嘉兴一中高三(上)10月月考数学试卷(文科)(解析版)
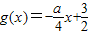
题型:解答题
已知函数f(x)=2ax
3-3ax
2+1,

.(a∈R)
(I)当a=1时,求函数y=f(x)的单调区间;
(II)若任意给定的x
∈[0,2],在[0,2]上总存在两个不同的x
i(i=1,2),使得f(x
i)=g(x
)成立,求a的取值范围.
查看答案和解析>>
科目:
来源:2010-2011学年浙江省嘉兴一中高三(上)10月月考数学试卷(文科)(解析版)
题型:解答题
如图,已知椭圆

过点.

,离心率为

,左、右焦点分别为F
1、F
2.点p为直线l:x+y=2上且不在x轴上的任意一点,直线PF
1和PF
2与椭圆的交点分别为A、B和C、D,O为坐标原点.
(1)求椭圆的标准方程;
(2)设直线PF
1、PF
2的斜线分别为k
1、k
2.①证明:

;②问直线l上是否存在点P,使得直线OA、OB、OC、OD的斜率k
OA、k
OB、k
OC、k
OD满足k
OA+k
OB+k
OC+k
OD=0?若存在,求出所有满足条件的点P的坐标;若不存在,说明理由.

查看答案和解析>>